Chapter 31
Noncorticosteroid Immune Therapy for Ocular Inflammation
SCOTT M. WHITCUP and ROBERT B. NUSSENBLATT
Main Menu   Table Of Contents

Search

ALKYLATING AGENTS
AZATHIOPRINE
FOLIC ACID ANALOGS
CYCLOSPORINE
FK506
DAPSONE
COLCHICINE
INHIBITORS OF PROSTAGLANDIN SYNTHESIS
PLASMAPHERESIS
MONOCLONAL ANTIBODY THERAPY
ORAL TOLERANCE
REFERENCES

During the first half of this century, therapy for ocular inflammatory disease was severely limited. Induced hyperpyrexemia where a patient's body temperature was raised up to 41 °C for a period lasting 4 to 6 hours was a common treatment for acute exudative uveitis. However, this therapeutic approach was dangerous and success was limited. The therapy of uveitis was radically changed with the use of corticosteroids for the treatment of inflammatory disease. In April 1949, Hench and colleagues reported the beneficial effect of 17hydroxy-11-dehydrocorticosterone in 14 patients with rheumatoid arthritis.1 All patients had marked to very marked improvement in their disease. By the following year the therapeutic effect of corticosteroids for uveitis was clearly demonstrated by a number of groups.2,3

Corticosteroids remain the mainstay of therapy for uveitis today. However, many patients have corticosteroid-resistant disease or develop intolerable adverse effects to steroids. Additionally, in patients requiring long-term therapy with corticosteroids, it is often prudent to add another immunosuppressive, steroid-sparing agent to the therapeutic regimen so that lower dosages of corticosteroids can be employed. Similarly, the combination of corticosteroids with another immunosuppressive agent may be a better therapeutic approach than using an immunosuppressive agent alone without corticosteroids. We have recently shown, for example, that patients with Behçet's disease appear to have fewer side effects and better visual outcome when treated with combined prednisone and cyclosporine therapy compared to patients treated with cyclosporine alone.4

As a result of the need for effective immunosuppression for patients undergoing organ transplantation, a large number of immunosuppressive agents are currently available (Table 1). Unfortunately, they lack total specificity and their mode of action affects several components of the immune system, often leading to unwanted adverse effects. An understanding of the mechanisms of action of these drugs can help the clinician to decide which immunosuppressive agents should be used. It should be emphasized that the potential adverse effects of these drugs (Table 2) must be taken seriously. It is important to weigh the risks and benefits of therapy and to discuss them openly with the patient. The immunosuppressed state, whether iatrogenically induced or due to disease as in the acquired immune deficiency syndrome, can have potentially devastating ocular effects,5 and long-term systemic problems as well.6,7 It is therefore critical for the clinician to be certain that immunosuppressive therapy has a realistic chance of improving or preserving vision. It would be wrong to place a patient on immunosuppressive therapy as treatment for end-stage ocular inflammatory disease with vision loss caused by an irreversible process such as neovascular glaucoma with advanced optic atrophy. In some cases, however, patients have an underlying, life-threatening systemic disease, such as Wegener's granulomatosis, which would require immunosuppressive therapy, regardless of their ocular condition. But in the absence of life-threatening systemic disease, the benefits of therapy for the ocular condition must be carefully examined. Ophthalmologists, unless well versed in the use of these drugs, should seek the help of an experienced internist or family practioner. Finally, the clinician must be diligent in excluding both infection and malignancy as a cause of the ocular inflammation before immunosuppressive therapy is started. Immunosuppression in the presence of underlying infection or malignancy will undoubtedly be deleterious to the patient.

 

TABLE ONE. Immunosuppressive Therapy


CategoryAgents
Alkylating agentsChlorambucil, cyclosphosphamide, busulfan, nitrogen mustard
Folic acid antagonistsMethotrexate
Purine antagonistsAzathioprine, 6-mercaptopurine
Pyrimidine antagonistsCytarabine, 5-fluorouracil, idoxuridine
Vinca alkaloidsVincristine, vinblastine
AntibioticsBleomycin, doxorubicin, rafampicin
Methyl hydrazineProcarbazine
Other agentsCyclosporine, FK506, colchicine, dapsone
Other therapeutic approachesMonoclonal antibodies against T cells, IL-2 receptor, and cell adhesion molecules; oral tolerance; plasmapheresis

 

 

TABLE TWO. Adverse Effects of Commonly Used Immunosuppressive Agents


DrugAdverse Effects
Alkylating Agents
CyclophosphamideBone marrow suppression, hemorrhagic cystitis, azoospermia, alopecia, secondary infection, secondary malignancy, visual blurring
ChlorambucilBone marrow suppression, azoospermia, gonadal dysfunction, secondary infection, secondary malignancy, hepatotoxicity, rash, pulmonary fibrosis
Purine Analogs
AzathioprineBone marrow suppression, gastrointestinal distress, hepatotoxicity, secondary malignancy, secondary infection
Folic Acid Analogs
MethotrexateHepatotoxicity, oral ulcers, gastrointestinal distress, ulcerative stomatitis, alopecia, bone marrow suppression, acute pneumonitis, dry eye
Other Agents
CyclosporineRenal toxicity, hypertension, hepatotoxicity, angioedema, hyperuricemia, gastrointestinal distress, gum hypertrophy, hypertrichorism
DapsoneHemolytic anemia, hepatitis, anorexia, cholestatic jaundice, erythema nodosum, psychosis, leukopenia, agranulocytosis
ColchicineGastrointestinal distress, hemorrhagic gastroenteritis, renal toxicity, bone marrow suppression, azoospermia, myopathy, alopecia
NSAIDSGastrointestinal distress, headaches, gastrointestinal bleeding, tinnitus, acute pancreatitis, acute pancreatitis, corneal opacities (indomethaci)

 

Corticosteroids are discussed in detail elsewhere. This chapter discusses other immunosuppressive agents and new approaches to immunomodulation in patients with ocular inflammatory disease.

Back to Top
ALKYLATING AGENTS
Cyclophosphamide (Cytoxan) and chlorambucil (Leukoran) are the two alkylating agents used clinically. These agents are derived from sulfur mustard, which was synthesized in 1854. Use of sulfur mustard during World War I had devastating effects, causing leukopenia in survivors and a lymphoid aplasia in those who died.8

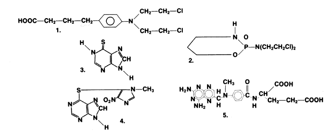
Alkylating agents undergo electrophilic reactions that result in the formation of covalent links (alkylation) with neutrophilic substances. The therapeutic effect of these agents is mediated by their alkylation of DNA, leading to cytolysis.9 The nucleophilic purine base, 7-nitrogen guanine, is theorized to be a major site for alkylation.10 In addition to the cross-linking of DNA strands, depurination of the DNA strand resulting in the rupture of the sugar phosphate backbone may also occur. Both cyclophosphamide and chlorambucil have a (chlorethyl)amine end group (Fig. 1), which is the active terminal for these alkylating reactions.

Fig. 1. Structures of chlorambucil (1), cyclophosphamide (2), 6-mercaptopurine (3), azathioprine (4), and methotrexate (5).

Nitrogen mustards are chemically unstable compounds, and structural modifications were required to make them clinically practical. One structural modification allowed the aromatic derivative of mustard gas (mechlorethamine), chlorambucil. This alteration yields the agent relatively inert, permitting oral administration. Chlorambucil is metabolized in rats to the alkylating agent, phenyl acetic mustard(s),11 and a ß-oxidation of chlorambucil has been reported in humans.12

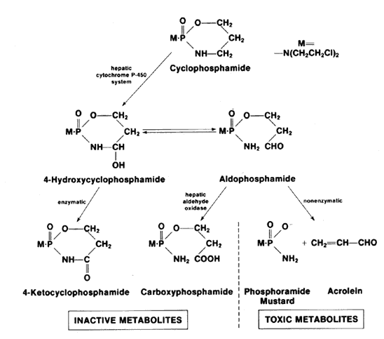
The replacement of the N-methyl moiety with a cyclic phosphamide group (see Fig. 1) yields cyclophosphamide.13 For cyclophosphamide to be therapeutically active, it must be metabolized by the liver's microsomal system.14,15 It was initially hoped that neoplastic lesions high in phosphamidases and phosphatases would selectively metabolize cyclophosphamide; unfortunately, this does not appear to be true. Cyclophosphamide is metabolized into several compounds (Fig. 2), and phosphoramide mustard is thought to be the most active alkylating agent.16 Other metabolites, such as 4-hydroxycyclophosphamide, although less cytotoxic, may enter cells more readily and could play an equally important role.10

Fig. 2. Metabolic pathway of cyclophosphamide. (Calabresi P, Parks RE Jr: Antiproliferative agents and drugs used for immunosuppression. In Gilman AG, Goodman LS, Gilman A [eds]: The Pharmacological Basics of Therapeutics, 6th ed, pp 1263–1368. New York, Macmillan, 1980)

EFFECTS ON THE IMMUNE SYSTEM

Most alkylating agents appear to be cell-cycle nonspecific, except for cyclophosphamide, which appears to be especially effective at the S-phase of the cell cycle. Acutely, the administration of high doses of cyclophosphamide seems to have a greater effect on B cells rather than T cells. However, at lower, chronic doses of cyclophosphamide, both B-cell and T-cell functioning are altered.17 Indeed, this agent can induce a selective depletion of thymus-dependent cortical areas of lymph nodes in mice18 and prolongs the survival of transplanted organs.19 Both chlorambucil and cyclophosphamide are capable of preventing experimental allergic encephalomyelitis,20,21 a T-cell-mediated experimental model. Interestingly, cyclophosphamide is able to induce tolerance in many mammals, including rats, against human blood cells.22

EFFECTS ON OCULAR INFLAMMATORY DISEASE

Cyclophosphamide has been shown to suppress the inflammatory response in rabbits following intravitreal deposition of bovine γ-globulin.23 Systemically administered cyclophosphamide decreased the titer of antibody in the aqueous and vitreous, and the number of antibody secreting cells in the uveal tract and cornea, when compared with controls. It also alters the late phase of experimentally induced herpes simplex infections in rabbits, which appears to be mediated by immune rather than infectious processes.24

Alkylating agents have been used in the treatment of several ocular inflammatory conditions. Buckley and Gills25 reported that combined cyclophosphamide and steroid therapy was particularly effective in suppressing the inflammatory response in patients with intermediate uveitis, while decreasing the incidence of adverse effects secondary to high-dose chronic steroid therapy. They emphasized, however, that many foods contain phosphatases, which could begin the metabolic “activation” of cyclophosphamide in the gastrointestinal tract and render it therapeutically useless. Therefore, the agent should be taken in the fasting state. Mamo and Azzam26 reported that chlorambucil was effective in the treatment of Behçet's disease. Dinning and Perkins published similar results.27 In a series of 31 patients, Godfrey and colleagues28 observed that chlorambucil was effective in treating Behçet's disease, sympathetic ophthalmia, and chronic cyclitis; however, no significant improvement was noted in patients with chronic iridocyclitis, chlorioretinitis, retinal vasculitis, and panuveitis. Cyclophosphamide also seems to be an effective treatment for Behçet's disease.29

Foster30 reported the beneficial use of cyclophosphamide in the treatment of external ocular inflammatory disease, including Mooren's ulcer, ocular pemphigoid, and the peripheral ulcerative keratitis associated with Wegener's granulomatosis and rheumatoid arthritis. Alkylating agents have also been used in the treatment of orbital inflammatory disease. Three patients with advanced Graves' ophthalmopathy had resolution of their ocular disease with cyclophosphamide administration.31 In general, cyclophosphamide is felt to be the most effective agent for the treatment of life-treatening vasculitis. Chlorambucil is felt to be less effective in treating vasculitic diseases, but can be useful in less severe cases.

ADMINISTRATION

Adult patients are initially treated with an initial dose of cyclophosphamide of 2 mg/kg/day orally.The white blood cell count with differential should be monitored closely and the absolute neutrophil count should not fall below 1500 cells/mm2. Pulse cyclophosphamide has been used for the treatment of collagen vascular disease such as systemic lupus erythematosus. This approach is thought to minimize adverse effects; however, Hoffman and associates found that intermittent cyclophosphamide therapy in combination with corticosteroid was ineffective in treating 79% of patients with Wegener's granulomatosis. We have also been disappointed with the therapeutic efficacy of pulse cyclophosphamide therapy. Rosenbaum and colleagues reported that of 11 uveitis patients treated with pulse cyclophosphamide, 5 benefited but only 2 had a sustained improvement without the addition of other immunosuppressive agents.32 Chlorambucil is usually given orally at a total dose of 0.1 to 0.2 mg/kg/day. We tend to use lower initial dosages and again, the white blood count and differential must be closely monitored.

ADVERSE EFFECTS

Both of the commonly used alkylating agents, chlorambucil and cyclophosphamide, induce bone marrow suppression and should not be used within a month of radiation therapy or other chemotherapy (see Table 2). Peripheral lymphocyte counts must be carefully followed. Both drugs put patients at increased risk for infection, and both may induce azoospermia. Banking of sperm, if available, should be discussed before therapy is administered. Chlorambucil can be hepatotoxic and is associated with the development of a rash and pulmonary fibrosis. Cyclophosphamide can potentially induce alopecia and hemorrhagic cystitis.33 Renal toxicity resulting in impaired water excretion attributed to the alkylating metabolites has also been observed.34 Kende and colleagues35 reported that intravenous high-dose administration of cyclophosphamide was associated with visual blurring. The potential long-term hazards of the alkylating agents are always troublesome, since there is a carcinogenic potential.36 With cyclophosphamide, secondary malignancies seem to occur in patients with hemorrhagic cystitis. In a series of 158 patients with Wegener's granulomatosis, Hoffman and colleagues reported that over 50% had serious infections requiring hospitalization, 43% had cystitis, 2.8% developed bladder cancer, and 2% had myelodysplasia.37 The authors calculated a 33-fold increase in bladder cancer and a 24-fold increase in malignancies overall, occurring 7 months to 10 years after stopping the medication.

Back to Top
AZATHIOPRINE
Since the initial studies by Hitchings and co-workers,38 investigators have been interested in the broad therapeutic applications of analogs of purine bases. These drugs exert a number of therapeutic effects including control of uric acid production (allopurinol), antiviral activity, and immunosuppressive actions as an antimetabolite. Azathioprine, also known as Imuran (see Fig. 1), is the most widely used immunosuppressive medication in its class.

Azathioprine is believed to be a prodrug that reacts with sulfhydryl compounds and then slowly releases 6-mercaptopurine. This is advantageous because it decreases the rate of 6-mercaptopurine inactivation by methylation, nonenzymatic oxidation, and by conversion to the inactive 6-thiouric acid by xanthine oxidase present in high quantities in the liver. Additionally, azathioprine is better absorbed than 6-mercaptopurine and causes less gastrointestinal distress.

Although both 6-mercaptopurine and azathioprine have been studied extensively, their modes of action are still unclear. It does appear that these agents alter both RNA and DNA metabolism by their conversion to the ribonucleotide 6-thioinosine-5-phosphate (T-IMP) by the enzyme hypoxanthine guanine phosphoribosyl transferase (HGPRT).9 The accumulation of T-IMP intracellularly affects the synthesis of nucleic acids,39 probably by incorporation into nucleic acids. Nucleotides of 6-methylmercaptopurine ribonucleoside have been demonstrated in patients treated with these purine analogs. However, resistance to the effects of purine analogs have been noted. Resistant tumor cells may develop that are deficient in HGPRT, an enzyme not imperative for cell survival but without which the purine analogs are unable to enter into the ribonucleotide synthesis chain.

EFFECTS ON THE IMMUNE SYSTEM

Purine analogs demonstrate some selectivity in their effects on the immune system. The thiopurines appear to be considerably more effectiveagainst the inductive phase or afferent arm of the immune response.40 Furthermore, T cells appear to be considerably more sensitive to these agents than B cells. 6-Mercaptopurine and azathioprine have been reported to inhibit antibody production in vitro and in vivo.41,42 However, antibody responses to thymus-independent antigens are highly resistant to those compounds when compared to the responses of the thymus-dependent group.43 This selectivity is further demonstrated by the inhibitory effects of the thiopurines on experimental allergic encephalomyelitis,44 delayed hypersensitivity,45 and rejection of xenogeneic grafts,46 all of which are T-cell-mediated immune processes.However, azathioprine was not particularly effective in preventing predominantly antibody-mediated autoimmune disease in NZB mice.17

The effects of the thiopurines on both T and B cells may be related to unique purine metabolic mechanisms. Lymphocytes lacking adenosine deaminase appear to be extremely sensitive to these agents,47 since this enzyme, when present, changes the therapeutic analogs into therapeutically inactive hypoxanthine.

EFFECTS ON OCULAR INFLAMMATORY DISEASE

6-Mercaptopurine and azathioprine are thought to be effective in the treatment of a wide variety of ocular inflammatory conditions. James48 showed that azathioprine is effective in promoting successful corneal transplantation in high-risk patients. Foster30 initially reported his experience with azathioprine in the treatment of cicatricial pemphigoid, but gastrointestinal intolerance precluded a thorough trial. More recently, however, Foster and co-workers49 reported that this agent was effective in the treatment of ocular cicatricial pemphigoid.

The combination of azathioprine and low-dose prednisone is also effective in the treatment of chronic uveitis.50 Of 22 patients with chronic uveitis, 12 had a positive therapeutic response to this regimen, with adverse effects occurring in 6 and no response in 4. Additionally, azathioprine or 6-mercaptopurine has been used beneficially in cases of sympathetic ophthalmia,51 Vogt-Koyanagi-Harada disease,52 and pars planitis.53 Aoki and Sugiura54 found that more than half of 25 patients with Behçet's syndrome treated with azathioprine had an improvement in their ocular disease. In a double-masked trial, Yazici and co-workers showed that azathioprine was superior to placebo in the prevention of new eye disease in patients with Behçet's disease.55 Azathioprine has been effectively used in combination with prednisone, and for severe, sight-threatening uveitis, azathioprine has been added to regimens containing cyclosporine and prednisone. This triple immunosuppressive agent therapy was used by Hooper and Kaplan for the treatment of macular-threatening serpiginous choroidopathy.56

ADMINISTRATION

Purine analogs are usually administered orally. The usual daily dose of azathioprine is 1 to 2.5 mg/kg. Drug levels of azathioprine can vary considerably, but the absolute neutrophil counts tend to correlate well with metabolite levels. About half of the absorbed dose is excreted in the urine within 24 hours of administration. Patients treated concomitantly with allopurinol, an inhibitor of xanthine oxidase, an enzyme that renders the purine analogs therapeutically inactive, should have their 6-mercaptopurine or azathioprine doses decreased by at least 25%.

ADVERSE EFFECTS

Purine analogs have been associated with a number of adverse effects (see Table 2). In addition to gastrointestinal toxicity, hepatotoxicity soon after the initiation of therapy has been observed. These alterations are partly due to hepatocellular necrosis and biliary stasis. Continuation of therapy in the presence of these drug-induced abnormalities can lead to hepatic decompensation. The most serious side effect is bone marrow suppression. Leukopenia is a more frequent adverse effect than either anemia or thrombocytopenia. In addition to bone marrow depression, rash and an increased risk for infection have been reported. An increased incidence of malignancy, especially lymphomas, has also been associated with the use of purine analogs.

Back to Top
FOLIC ACID ANALOGS
Methotrexate is the only clinically useful folic acid inhibitor. Methotrexate, a folate analog, is an effective agent in the treatment of choriocarcinoma57 and belongs to a group of agents that induced the first remission in leukemia.58 Methotrexate differs from folic acid in that methyl and amino groups replace a hydrogen atom and hydroxyl group. Folate analogs have detrimental effects on cellular metabolism by inhibiting dihydrofolate reductase, an enzyme that promotes dihydrofolate to become tetrahydrofate (FH4), an active and important coenzyme in cellular metabolism. Methotrexate leads to depletion of intracellular stores of reduced folate, and inhibits thymidylate synthesis, accounting for much of its antiproliferative action. Methotrexate is cytotoxic only when cells are actively dividing acting predominantly during the S-phase of the cell cycle. Since protein and RNA synthesis are also affected by this agent, cell entry into the S-phase can be slowed and the medication has been referred to as being self-limiting.59

Two interesting aspects of methotrexate therapy for neoplastic disease deserve special attention. Higher dosages of methotrexate can be employed if agents like chlorambucil and thymidine are added to the regimen. These agents appear to “rescue” or protect normal tissue from the effects of methotrexate. Additionally, it has been noted that neoplastic elements with increased dihydrofolate reductase activity and, therefore, a relative resistance to these analogs, may appear soon after methotrexate administration. These resistant cells can be avoided by a variety of therapeutic approaches.9

EFFECTS ON THE IMMUNE SYSTEM

Folate analogs seem most able to effect immunosuppression if given shortly after antigen stimulation.60 Indeed, Levy and Whitehouse61 reported that methotrexate may enhance a cellular immune response if given before antigenic stimulation. Others have suggested that methotrexate has greater suppressive effects on antibody responses than cellular immunity,62 and may do this selectively.63 Methotrexate inhibits histamine responses and therefore may have anti-inflammatory properties as well.64

Although methotrexate is particularly useful for the treatment of neoplastic disorders, such as acute lymphoblastic leukemia in children, it has also been used in some immune-mediated disorders. The agent is effective in treating psoriasis,65 myasthenia gravis,66 and graft-versus-host disease in bone marrow recipients.67

EFFECTS ON OCULAR INFLAMMATORY DISEASE

Methotrexate has been used in the treatment of both extraocular and intraocular inflammation. In one series of 30 patients with ocular inflammatory disease undergoing immunosuppressive therapy, 24 were treated with methotrexate alone.68 Patients receiving methotrexate, including those with cyclitis and five of seven patients with sympathetic ophthalmia, demonstrated clinical improvement. However, some patients, including those with Behçet's disease and unilateral iridocyclitis, did not improve with methotrexate therapy. Some patients refractory to methotrexate subsequently responded clinically to cyclophosphamide. Foster30 reported that methotrexate administration impeded the ulceration of a lamellar tectonic corneal graft in a patient with Mooren's ulcer. Foster and colleagues69 have further noted that the ocular complications of rheumatoid arthritis are sensitive indicators of an underlying potentially lethal vasculitis, and that cytotoxic therapy with immunosuppressive agents like methotrexate favorably alters their course.

Holz and colleagues recently reported that low-dose methotrexate was effective in the treatment of uveitis.70 In their report, 11 of 14 patients had an improvement in visual acuity. Shah and co-workers found similar success with low-dose methotrexate; however, the effect of therapy was less profound in patients with chronic inflammatory disease.71 Finally, methotrexate has been administered subconjunctivally with cytarabine and corticosteroids to treat a leukemic infiltrate in the eye.72

ADMINISTRATION

Methotrexate can be administered once a week when given either orally or parenterally. Oral regimens are occasionally given in several divided doses to augment absorption. The usual adult dosage ranges from 5 to 40 mg/week. The dose should be lowered in patients with renal insufficiency. Methotrexate can be given in large doses (above 1 g/m2) but should be followed by leucovorin rescue which overcomes the metabolic block by supplying reduced folate. Such large doses of the drug are usually reserved for the treatment of malignancy.

ADVERSE EFFECTS

Methotrexate administration is associated with hepatotoxicity (see Table 2). This has been noted not only in patients with neoplasm and psoriasis but also in those with uveitis.68 Other adverse effects reported with this medication include oral ulcers, gastrointestinal distress, ulcerative stomatitis, alopecia, bone marrow depression, and rash. Acute pneumonitis that can be accompanied by fever, dyspnea, and cough may occur in up to 5% of patients treated with methotrexate, but appears to resolve when the drug is discontinued.73,74 Concentrations of methotrexate in tears equivalent to those in plasma have been noted in patients receiving high-dose methotrexate by infusion.75 Some of those patients with high concentrations of methotrexate in their tears experienced burning, pruritus, and dry eyes.

Back to Top
CYCLOSPORINE
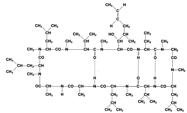
Cyclosporine (Sandimmune) is a potent immunosuppressive agent that is a naturally occurring product of several fungi.76 This agent, with a molecular weight of 1202.6, is a neutral, hydrophobic cyclic peptide (Fig. 3). Cyclosporine appears to be absorbed incompletely from the gastrointestinal tract, with figures ranging from 4% to 60%. Mauser and colleagues have found nine metabolites of the drug, all containing the cyclic oligopeptide of the parent agent.77 Excretion through the urinary tract appears to be of minimal importance; the major route of removal from the body appears to be in the bile after metabolism by the cytochrome P-450 microsomal enzyme system.78 Drugs, like ketoconazole, that interfere with the cytochrome P-450microsomal enzyme system lead to increased serum levels of cyclosporine. Cyclosporine is concentrated in lipid containing tissues such as breast, pancreas, liver, lymphoid tissue, and kidney. We found about 40% of the plasma concentration of cyclosporine in the aqueous of patients with quiescent uveitis under therapy with cyclosporine at the time of cataract surgery.79

Fig. 3. Structure of cyclosporine.

EFFECTS ON THE IMMUNE SYSTEM

Although cyclosporine has mild antifungal activity78 and is a potent antimalarial drug,80 this agent has been the center of much attention since Borel and colleagues81 reported on its effective suppression of several immune-mediated functions, including the prevention of experimental allergic encephalomyelitis, graft-versus-host disease, and graft rejection. However, the exact mechanism of action of cyclosporine remains in doubt. Cyclosporine was shown to inhibit well-established T-cell-mediated reactions, and its failure to suppress antibody synthesis to lipopolysaccharide antigens in nude mice further suggested a selective effect on T cells.82 It seems likely that its major mode of action is through interference with the interleukin (IL) system, which normally permits expansion and recruitment of T cells. The drug appears to act primarily on a subset of immunocompetent T cells, interfering with the early stage of activation.83,84 Several investigators have proposed various points at which cyclosporine may intervene in this activation. Larsson85 reported that cyclosporine appeared to block IL-2 receptor formation rather than the production of IL-2, which was drastically affected by dexamethasone. Cyclosporine enters the cell and is bound to cyclophilin, an immunophilin, and is then escorted into the nucleus where it effects mRNA production and protein synthesis. Recent data suggest that cyclosporine blocks the early activation genes in T cells, blocking the transcription of the IL-2 gene.86

The effect of cyclosporine on the cellular level appears profound. This agent suppresses mitogen and alloantigen responses by lymphocytes.87 However, subsets of T cells appear to be spared. Horsburgh and colleagues88 reported the presence of a cyclosporine-resistant splenic murine cytotoxic lymphocyte. Sweny and Tidman89 have reported a fourfold increase in the OKT8 (suppressor/cytotoxic) fraction of T cells in renal allograft recipients receiving cyclosporine. The effects of cyclosporine on other immune cells are less striking. Antibody production is altered by cyclosporine mainly if the antigen is T-cell dependent,90 while a transient effect on human natural killer cell activity in vitro has been reported.91

Cyclosporine's effectiveness as a noncytotoxic immunosuppressive agent has been well documented in the field of transplantation immunity. Cyclosporine has been an effective initial immunosuppressant in recipients of cadaveric organ transplants including kidneys, pancreases, and livers.92,93 Successful allogeneic bone marrow transplantation has been reported with cyclosporine,94 and the drug has modified the acute skin reaction associated with graft-versus-host disease.94 Heart-lung recipients have also benefitted from cyclosporine therapy, with Reitz and colleagues95 reporting that normal exercise tolerance was obtained by one patient 10 months after surgery.

Cyclosporine has also been used to treat some autoimmune disorders. It is interesting to note that in spontaneous autoimmune thyroiditis, a condition that develops in the obese strain of chickens and that depends on an intact B-cell system, cyclosporine therapy appeared to induce significantly more severe disease and higher titers of thyroglobulin autoantibodies.96 However, cyclosporine effectively prevented the development of insulin-dependent diabetes mellitus in BB Wistar rats, a strain that spontaneously develops a condition resembling the human type I diabetes.97 Bolton also found that cyclosporine prevented the manifestations of experimental-allergic encephalomyelitis, a T-cell-mediated neurologic disorder.97a

EFFECTS ON OCULAR INFLAMMATORY DISEASE

The increase in corneal graft survival in animals treated with cyclosporine has now been confirmed by several groups.98–100 Systemic administration of cyclosporine (25 mg/kg/day) resulted in a marked prolongation of corneal graft survival in rabbits,98 while retrobulbar injections prolonged survival time as well.99 Hunter and colleagues100 prolonged graft survival in all rabbits by administering a 1% solution of cyclosporine, but all grafts were eventually rejected after the discontinuation of therapy.

Cyclosporine can inhibit the development of experimentally induced uveitis, whether caused by the retinal S-antigen101–103 or by rhodopsin.104 In the S-antigen model, cyclosporine prevented bilateral disease in rats whether therapy was administered at the time of S-antigen immunization or begun after immunoresponsive cells to the inciting antigen could be found in the lymph nodes.101 Alternate-day cyclosporine therapy was capable of protection, and in some animals a tolerant state appeared to occur.101 Cyclosporine did not effect antibody levels to the S-antigen in animals, but the recruitment of T cells and the presence of circulating immunoreactive T cells to the S-antigen were decreased by cyclosporine therapy.102,103

Cyclosporine is an extremely effective agent for the treatment of uveitis in humans.105–109 Patients with severe posterior uveitis of noninfectious etiology who were corticosteroid or cytotoxic agent failures had a beneficial response to this form of therapy. An improvement in visual acuity and a diminution of the intraocular inflammatory response were both noted. Systemic symptoms and signs, such as those seen in Behçet's disease, also improved with cyclosporine therapy. Patients' natural killer cell activity remained unchanged with continued cyclosporine therapy, but an increase in the OKT8 (suppressor/cytotoxic) T-cell subset was noted. These findings support the important role of the T cell in many cases of posterior uveitis. We tend to use cyclosporine in the treatment of corticosteroid resistant uveitis. In addition, we use cyclosporine in combination with prednisone, as a steroid-sparing agent, so that lower dosages of both drugs can be effectively employed.4

ADMINISTRATION

Initial studies of cyclosporine used dosages of 10 mg/kg/day. We now start patients on dosages of 5 mg/kg/day and lower the dose depending on the therapeutic response and the presence of adverse effects. Dosages of cyclosporine can be drastically reduced when the drug is given in combination with ketaconazole.110

ADVERSE EFFECTS

Until the report of cyclosporine therapy in patients with uveitis, most adverse effects were reported from patients with severe underlying systemic diseases, thereby making it unclear what effects were caused by cyclosporine and what effects were due to the underlying disease. Lymphoma was reported in one group of renal transplant patients receiving cyclosporine, but these patients also received other immunosuppressive agents.92 Other researchers94 have not reported increased malignancy in transplant patients treated with cyclosporine. The adverse effects reported with cyclosporine are listed in Table 2. The major adverse effect of cyclosporine is dose-dependent renal toxicity which occurs in most patients with prolonged therapy.111,112 Renal tubular atrophy and interstitial fibrosis were noted on biopsy of uveitis patients treated with a mean of 2 years of cyclosporine therapy.113 Renal toxicity is lessened with lower doses of the drug. Hypertension is also a common adverse effect of cyclosporine, especially in children, and hepatotoxicity occurs in some patients. Isenberg and colleagues114 reported the development of angioedema in a small group of patients with systemic lupus erythematosus receiving cyclosporine. It is important to note that tumors have not been associated with cyclosporine use in the uveitis patients. Opportunistic infections have not been a frequent problem in uveitis patients treated with cyclosporine, although they can occur. Finally, cyclosporine does not seem to interfere with immune responses to new antigens, and vaccination can therefore be performed on patients receiving cyclosporine, although pre- and post-immunization titers should be checked.

Back to Top
FK506
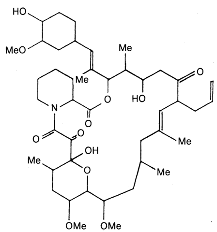
FK506 is an immunosuppressive agent isolated from the broth of Streptomyces tsukubaensis with a mechanism of action similar to that of cyclosporine (Fig. 4).115,116 The drug binds to FK-binding protein, an immunophilin similar to cyclophilin. It appears to suppress the formation of mRNA for interleukin-2, but at a concentration about 100 times less than that of cyclosporine. However, the adverse effects of FK506 seem to occur at these lower therapeutic doses.

Fig. 4. Structure of FK 506.

An open label clinical trial evaluated the use of FK506 for the treatment of uveitis in Japan.117,118 About 75% of patients, most with Behçet's disease, had a beneficial effect. However, adverse effects appear to be similar to those reported with cyclosporine. Additional clinical trials of FK506 are in progress, and should determine whether the drug will be useful for the treatment of uveitis.

Back to Top
DAPSONE
Dapsone and other drugs in the sulfone class were initially developed as antibiotics. The sulfones have become the most important class of drugs for the treatment of leprosy, a disease with severe ocular sequelae. However, dapsone has been more recently noted to have a place in the therapeutic regimen against noninfectious, probable autoimmune conditions as well.

EFFECTS ON THE IMMUNE SYSTEM

The mode of action of dapsone still remains unclear; however, dapsone has been observed to interfere with the myeloperoxidase (MPO)-H2O2 halide-mediated cytotoxic system of human polymorphonuclear leukocytes.119 It does not seem to have an effect on the locomotion, chemotaxis, or oxidative metabolism of these cells. In vitro, dapsone decreases candicidal activity during phagocytosis of Candida albicans and decreases the cytotoxic response of cells to virus-induced lymphoma cells.119 Dapsone may prevent the release of lysosomal enzymes when administered in vivo to rabbits,120 although others have not noted an effect on lysosomal release in a different experimental system.119 Some authors have also suggested that this medication may modulate the alternative complement pathway.121

Immune-complex-mediated skin responses (Arthus reactions) were diminished in ovalbumin-immunized guinea pigs when they were treated regularly with dapsone,122 while circulating antibody levels to the antigen were unchanged as compared with controls.123 Dapsone has been demonstrated to have anti-inflammatory properties when tested in both the adjuvant arthritis- and carrageenan-induced inflammatory models.124 However, dapsone was one tenth as effective as prednisolone in its anti-inflammatory effect in the adjuvant arthritis model, while indomethacin was 20 times more effective than dapsone in the carrageenan model. Dapsone has been used extensively in the treatment of dermatologic disorders. Its use has yielded positive responses in patients with skin manifestations of dermatitis herpetiformis125 as well as erythema elevatum diutinum126 and cicatricial pemphigoid.

EFFECTS ON OCULAR INFLAMMATORY DISEASE

Dapsone has been used in the treatment of patients with the manifestations of ocular cicatricial pemphigoid. This potentially blinding disorder often requires aggressive therapy in order to effect control of the disease process. Rogers and colleagues127 treated 24 patients with cicatricial pemphigoid with dapsone, 17 of whom had ocular disease. Twenty of these patients had partial or complete control of their inflammatory activity. These investigators noted that oral lesions seemed to respond most readily, while ocular lesions required a longer therapeutic period before clinical benefit occurred. It was suggested that those with advanced disease could be treated with a combination of dapsone and oral prednisone. In six of the patients (two of whom had control of their disease), the medication was discontinued because of drug-related side effects. Others,128 however, report less success with dapsone for the treatment of this disorder.

ADVERSE EFFECTS

Anemia secondary to red cell hemolysis is a common problem (see Table 2). Patients deficient in glucose-6-phosphate dehydrogenase or glutathione reductase are at greater risk.129 Other adverse reactions noted include hepatitis, anorexia, cholestatic jaundice, erythema nodosum, psychosis, leukopenia, and agranulocytosis.

Back to Top
COLCHICINE
Colchicine is an anti-inflammatory agent used for the treatment of gout.130 The drug is occasionally used for the treatment of uveitis, predominantly the ocular complications of Behçet's disease.

EFFECTS ON THE IMMUNE SYSTEM.

The drug binds to microtubular proteins and interferes with the migration of granulocytes.130 Colchicine may also have a role as an antimitotic agent.

EFFECTS ON OCULAR INFLAMMATORY DISEASE.

Colchicine has been effectively used for the treatment of ocular inflammation associated with Behçet's disease, either alone or in combination with other immunosuppressive agents. Mizushima and colleagues reported improvement in 104 of 131 patients with Behçet's disease treated with colchicine.131 Baer and co-workers demonstrated that colchicine could be used to treat mild forms of ocular Behçet's disease without other immunosuppressive therapy.132

ADMINISTRATION.

Colchicine is given orally at a dose of 0.5 to 0.6 mg two to three times a day.

ADVERSE EFFECTS.

Gastrointestinal distress is the most common side effect (see Table 2). Other signs of drug toxicity include hemorrhagic gastroenteritis and renal toxicity. With chronic administration, bone marrow suppression, azoospermia, myopathy, and alopecia may result.

Back to Top
INHIBITORS OF PROSTAGLANDIN SYNTHESIS
Prostaglandin should refer only to the metabolic products of the C20 polyenoic fatty acids that have a 5-membered carbon ring,133 with arachidonic acid being the most common precursor (Fig. 5). It is clear that prostaglandins modulate the inflammatory response by increasing vascular permeability and vasodilation. It is not clear, however, if the alterations noted are due to a direct action on the vasculature,134 the release of vasoactive substances,135 or the potentiation of other inflammatory mediators.136 Additionally, superoxides can transform arachidonic acid into a lipid with powerful neutrophil chemotactic activity.137 Prostaglandins appear to regulate cellular immune responses at the inductive phase.138 It should be noted, however, that prostaglandins, particularly PGE1, are capable of suppressing in vivo inflammatory responses as well.139,140

Fig. 5. Arachidonic acid metabolism and sites of drug modulation. (Davies P, Bonney R, Humes J et al: The mechanism of action of anti-inflammatory drugs at the cellular level. In Immunology of the Eye, Workshop III, pp 411–424. Immunology Abstracts, Special Supplement, 1981)

The conversion of arachidonic acid to prostaglandins is mediated by a cyclooxygenase and peroxidase. Aspirin was reported to inhibit prostaglandin formation in both animal141,142 and human143 in vitro models at this point in the metabolic sequence, as do other aspirin-like compounds, such as indomethacin.

Indomethacin, a methylated indole derivative, not only has anti-inflammatory characteristics but is an analgesic and an antipyretic, and at very high concentrations it depresses mucopolysaccharide production.144 The medication has become widely used for rheumatologic conditions, specifically in rheumatoid arthritis145 and ankylosing spondylitis.146 Other nonrheumatologic conditions treated with indomethacin include the prevention of spontaneous labor147 and neonatal cardiac failure secondary to a patent ductus arteriosus.148

EFFECTS ON OCULAR INFLAMMATORY DISEASE

The prostaglandin inhibitors, particularly indomethacin, have received much attention because of their potential in decreasing postoperative cystoid macular edema (Fig. 6). In one series,149 systemic indomethacin therapy decreased the incidence of cystoid macular edema after cataract surgery from 15 of 34 eyes (44%) to 5 of 57 eyes (9%) in the 4 to 6 weeks after the procedure. A 1% topical preparation was found to yield similar results.150,151 Miyake and co-workers152 have demonstrated that aqueous concentrations of prostaglandin E and F2 increased after either intracapsular or extracapsular cataract extraction and that pretreatment with indomethacin prevented this rise. In a double-masked study, this agent has been demonstrated to decrease the incidence of pseudophakic cystoid macular edema; however, there was no statistical difference in the final visual acuity between the indomethacin and placebo groups.153 A similar decrease in the development of this problem but with no statistically significant difference in final visual acuity was noted when this agent was used topically in patients undergoing surgery for retinal detachment.154 Jampol155 observed that no clinical trial has yet demonstrated a sustained effect of topical indomethacin in the prevention of cystoid macular edema. Indeed, the incidence of cystoid macular edema between an indomethacin-treated and placebo group was not statistically different 10 weeks151 and 1 to 1<fr1/2> years after cataract surgery. Indomethacin has also been reported to be beneficial in altering the course of acute anterior uveitis when used in conjunction with other corticosteroids.156 Aspirin, by its presumed inhibition of prostaglandin D2 production, a secondary mast cell mediator, dramatically improved the clinical picture of vernal conjunctivitis in patients when used in conjunction with other medications.157

Fig. 6. Hypothesis for prostaglandin-induced aphakic cystoid macular edema. (Yannuzzi LA, Landau AU, Turtz AI: Incidence of aphakic cystoid macular edema with the use of topical indomethacin. Ophthalmology 88:447–953, 1981)END

ADVERSE EFFECTS

A very high percentage (35% to 50%) of patients experience adverse reactions when receiving this medication, making it often difficult to administer for any extended period of time.144 Gastrointestinal discomfort is the most common complaint, and gastrointestinal bleeding can occur (see Table 2). Ulcerative bowel lesions, diarrhea, occult blood loss, and acute pancreatitis have also been reported. Severe frontal headaches are reported in up to 50% of patients chronically using indomethacin. Corneal opacities and optic disc pallor that were initially reported with this agent are no longer considered to be associated adverse effects.145 Indomethacin may alter the effectiveness of furosemide. Topical preparations of the nonsteroidal anti-inflammatory drugs have fewer side effects. Burning, stinging, and minor irritation may occur with topical preparations. Increased bleeding in ocular tissues has also been reported.

Back to Top
PLASMAPHERESIS
The concept that large quantities of plasma could be readily and safely removed from mammals had its origin in the work by Abel and colleagues,158 who, in 1914, dialysed nephrectomized dogs. Although plasmapheresis was previously used in normal donors, this technique was first used therapeutically for the treatment of macroglobulinemia.159 This procedure remains an accepted therapeutic modality for hyperviscosity syndromes, particularly those associated with myeloma and macroglobulinemia. It was not until 1975 that Branda and colleagues160 published their experience with plasmapheresis in the treatment of autoimmune disorders, and it has now been used in several systemic autoimmune disorders, including systemic lupus erythematosus.161 The major rationale for this approach has been that patients with systemic lupus erythematosus have elevated circulating immune complexes and that they are correlated with clinical activity.162 Plasmapheresis is also effective for the treatment of thrombocytopenic purpura.

EFFECTS ON THE IMMUNE SYSTEM

The exact mechanism of action by which plasmapheresis exerts a beneficial effect remains speculative. It appears that the clearance of immune complexes by the reticuloendothelial system decreases when the system becomes overloaded by high concentrations of circulating immune complexes. With the removal of these complexes, plasmapheresis may re-establish homeostasis and promote efficient clearance. A separate or concomitant problem may be that patients with putative immune complex- mediated disease may have a longer clearance time.163

Although plasmapheresis may yield clinical improvement, a rebound in antibody production and immune complex formation can occur, leaving this clinical amelioration ephemeral.161 Even with the addition of corticosteroids, the therapeutic response to plasmapheresis remains short-lived. Theaddition of cytotoxic agents, particularly cyclophosphamide, has increased the duration of clinical improvement up to 4 years in one report.161

EFFECTS ON OCULAR INFLAMMATORY DISEASE

The effect of plasmapheresis on orbital complications of thyroid disease has been studied. Both negative and positive results have been reported.164,165 Little data are available on the use of plasmapheresis in the treatment of uveitis. A reportby Saraux and colleagues166 has described its beneficial effects in two patients with Behçet's disease who demonstrated elevated circulating immune complexes. I am aware of a 14-year-old boy with bilateral retinal vasculitis associated with vitritis who underwent plasmapheresis while being treated with systemic corticosteroids. Although there was initially a beneficial therapeutic response, this was transient and his therapeutic regimen needed to be changed. Certainly a clear beneficial effect of plasmapheresis for the treatment of uveitis has notbeen demonstrated to date.

ADVERSE EFFECTS

Infections, some life threatening, have been reported in patients treated with plasmapheresis and immunosuppressive agents.167 Deaths have occurred during plasmapheresis.168 It should be noted, however, that until now patients chosen for this therapy are those with severe and potentially life-threatening conditions and therefore are probably at high risk for potentially serious adverse problems.

Back to Top
MONOCLONAL ANTIBODY THERAPY

ANTILYMPHOCYTE GLOBULIN

The administration of antibodies against components of the human immune system (usually against T cells), can affect the immune response.169 The prolongation of graft survival170 with antilymphocyte globulin led to much interest in this therapeutic approach.

Effects on the Immune System

Several factors may contribute to the action of antilymphocyte globulin. The administration of antilymphocyte globulin produces a decrease in circulating T cells, suggesting that an active depletion is occurring. A portion of the remaining T cells may be rendered inactive due to coating with the administered antibody. A shift in T-cell subsets with an increase in suppressor cells may also take place.

Antilymphocyte globulin has a profound effect on T-cell-mediated functions in various experimental models, including the inhibition of delayed hypersensitivity,171 graft-versus-host reactions,172 and T-cell-dependent antibody responses.173 However, antibody responses to T-cell-independent antigens were unaffected.174 In humans antilymphocyte globulin may prolong renal transplantation survival time.175 More recently, monoclonal antibodies have been shown capable of immunomodulation176 and the OKT3 monoclonal preparation has been used to prevent acute graft-versus-host disease in patients with acute leukemia receiving allogeneic bone marrow transplants.177

Effects on Ocular Inflammatory Disease

The use of antilymphocyte globulin in the treatment of ocular conditions has not been extensive. This modality has been reported to help patients suffering from sympathetic ophthalmia and chronic uveitis, while antilymphocyte globulin efficacy in preventing corneal graft rejection was less impressive.178

Adverse Effects

Several complications have hampered extensive use of antilymphocyte globulin. Potentially pathogenic antibodies to nonimmune tissue may be present. Antiglomerular basement membrane antibodies in the antilymphocyte globulin may induce nephrotoxicity. Serum sickness due to antilymphocyte globulin can occur. Use of concomitant immunosuppressive therapy or a less immunogenic immunoglobulin fraction may reduce the incidence of these side effects.

ANTI-IL-2 RECEPTOR ANTIBODY

Recently, antibodies directed against specific components of the IL-2 receptor complex have been developed. The 55-kd Tac subunit is expressed on T and B cells after activation. Monoclonal antibodies directed against the Tac subunit are effective in prolonging allograft survival in monkeys and in man.179,180 They also decrease graft-versus-host disease in man.181 Previous problems occurred because human antimouse antibodies developed and decreased the efficacy of this therapeutic approach. Now, however, these antibodies can be humanized by use of a human immunoglobulin structure, and are not recognized as a foreign protein. Dr. Roberge in our laboratory is currently investigating the use of these antibodies in the treatment of experimental autoimmune uveitis in animals, and human clinical trials are planned.

ANTI-CELL ADHESION MOLECULE ANTIBODIES

Cell adhesion molecules are cell surface proteins integral to the homing of leukocytes to areas of inflammation. A number of studies now demonstrate that these cell adhesion molecules are involved in the pathogenesis of ocular inflammatory disease. We have studied the role of cell adhesion molecules on the development of ocular inflammation in animal models of uveitis and in pathology specimens from patients with uveitis or corneal graft rejection. Early studies demonstrated that the expression of intercellular adhesion molecule-1 (ICAM-1, CD54) was upregulated on the vascular endothelium in the retina and on the retinal pigment epithelium in enucleated eyes from patients with chronic posterior uveitis.182 ICAM-1 binds to Mac-1 (CD11b/CD18), a cell adhesion molecule expressed predominantly on neutrophils and macrophages, and to lymphocyte function-associated molecule-1 (LFA-1, CD11a/CD18). We later showed that ICAM-1 expression preceded the infiltration of inflammatory cells into eyes with experimental autoimmune uveitis and endotoxin-induced uveitis.183,184 Furthermore, we showed that monoclonal antibodies against Mac-1 inhibited the development of endotoxin-induced uveitis,183 and that monoclonal antibodies against both ICAM-1 and LFA-1 could inhibit experimental autoimmune uveitis.184 Currently a humanized monoclonal antibody against ICAM-1 is being studied in clinical trials as a therapy for patients with organ transplant rejection and rheumatoid arthritis. Trials to examine the efficacy of an anti-ICAM-1 antibody forthe treatment of uveitis are planned. In addition, smaller compounds that block cell adhesion molecules are being developed. Such compounds will avoid the problem of an induced antibody response and may allow topical application.

Back to Top
ORAL TOLERANCE
In 1911, Wells first demonstrated that the route of antigen administration partly determines the type of immune response that is induced.185 Later studies demonstrated that oral administration of antigen could induce immune tolerance, and this oral tolerance has been demonstrated in several animal models of autoimmune disease including experimental allergic encephalomyelitis.186 Nussenblatt and co-workers showed that oral administration of the S-antigen molecule prevented or markedly diminished the clinical appearance of S-antigen induced uveitis.187 Recently Weiner and colleagues presented the results of a 1-year, double-masked randomized clinical trial of 30 patients with relapsing-remitting multiple sclerosis.188 Six of the 15 patients in the myelin-treated group had at least one major exacerbation while 12 of 15 had an attack in the control group (p = 0.06). No important side effects of the treatment have been reported. Induction of oral tolerance was also effective in treating patients with rheumatoid arthritis.189 A similar prospective, randomized, double-masked clinical trial is underway at the National Eye Institute investigating the therapeutic effect of oral tolerance induced by feeding uveitis patients retinal antigens.

Although immunosuppressive agents are often effective in treating patients with autoimmune uveitis, serious side effects have limited their use and fostered a search for newer immunosuppressive agents and novel therapeutic approaches. The future promises a plethora of new options for the treatment of ocular inflammatory disease that will hopefully augment therapeutic efficacy while minimizing adverse effects.

Back to Top
REFERENCES

1. Hench PS, Kendall EC, Slocumb CH, Polley HF: The effect of a hormone of the adrenal cortex (17-hydroxy-11-dehydrocortisone: compound E) and of pituitary adrenocorticotropic hormone on rheumatoid arthritis. Proc Staff Meet Mayo Clinic 24:181, 1949

2. Gordon DM, McLean JM: Effects of pituitary adrenocorticotropic hormone (ACTH) therapy in ophthalmologic conditions. JAMA 142:1271, 1950

3. Olson JA, Steffensen EH, Margulis RR et al: Effect of ACTH on certain inflammatory diseases of the eye. JAMA 142:1276, 1950

4. Whitcup SM, Salvo EC Jr, Nussenblatt RB: Combined cyclosporine and corticosteroid therapy for sight-threatening uveitis in Behçet's disease. Am J Ophthalmol 118:39, 1994

5. Cogan DG: Immunosuppression and eye disease. Am J Ophthalmol 83:777, 1977

6. Grunwald HW, Rosner F: Acute leukemia and immunosuppressive drug use: A review of patients undergoing immunosuppressive therapy for non-neoplastic diseases. Arch Intern Med 139:461, 1979

7. Schein PS, Winokur SH: Immunosuppressive and cytotoxic chemotherapy: Long-term complications. Ann Intern Med 82:84, 1975

8. Krumbhaar EB, Krumbhaar HD: The blood and bone marrow in yellow cross gas (mustard gas) poisoning: Changes produced in the bone marrow of fatal cases. J Med Res 40:497, 1919

9. Calabresi P, Parks RE Jr: Antiproliferative agents and drugs used for immunosuppression. In Gilman AG, Goodman LS, Gilman A (eds): The Pharmacological Basics of Therapeutics, 6th ed, pp 1263–1268. New York, Macmillan, 1980

10. Dorr RT, Fritz WL: Cancer Chemotherapy Handbook. New York, Elsevier, 1980

11. Everett JL, Roberts JJ, Ross WCB: Aryl-2-halogenoalkylamines. Part XII. Some carboxylic derivatives of NNdi-2-chlorethylaniline. J Chem Soc 3:2386, 1953

12. McLean A: Pharmacokinetics and metabolism of chlorambucil in patients with malignant disease. Cancer Treat Rev 6 (suppl):33, 1979

13. Arnold H, Bourseaux F: Synthese und Abbau cytostatisch wirksamer cyclischer N-Phosphamidester des Bis-(ß-chlorathyl)-amins. Angew Chem 70:539, 1958

14. Brock N, Hohorst HJ: Uber die Aktivierung von Cyclophosphamid in vivo und in vitro. Arzneimittelforschung 13:1021, 1963

15. Cohen JL, Jao JY: Enzymatic basis of cyclophosphamide activation by hepatic microsomes of the rat. J Pharmacol Exp Ther 174:206, 1970

16. Chabner BA, Myers CE, Oliverio VT: Clinical pharmacology of anticancer drugs. Semin Oncol 4:165, 1977

17. Bach JF: The Mode of Action of Immunosuppressive Agents, pp 209–210. Amsterdam, North-Holland, 1975

18. Mackiewicz U, Brelinska-Peczalska R, Konys J: The influence of cyclophosphamide on lymph node and peripheral blood lymphocytes in mice. Arch Immunol Ther Exp 26:375, 1978

19. Starzl TE, Groth CG, Putnam CW et al: Cyclophosphamide for clinical renal and hepatic transplantation. Transplant Proc 5:511, 1973

20. Paterson PY, Hanson MA. Cyclophosphamide inhibition of experimental allergic encephalomyelitis and cellular transfer of the disease on Lewis rats. J Immunol 103:1311, 1969

21. Thomson JD, Austin RW, Streetman RP: The influence of chlorambucil on experimental allergic encephalomyelitis. Neurology 13:505, 1963

22. Gordon RO, Wade ME, Mitchell MS: The production of tolerance to human erythrocytes in the rat with cytosine arabinoside or cyclophosphamide. J Immunol 103:233, 1969

23. Hall JM, Ohno S, Pribnow JF: The effect of cyclophosphamide on an ocular immune response. I: Primary response. Clin Exp Immunol 30:309, 1977

24. Oh JO: Effect of cyclophosphamide on primary herpes simplex uveitis in rabbits. Invest Ophthalmol Vis Sci 17:769, 1978

25. Buckley CE III, Gills JP Jr: Cyclophosphamide therapy of peripheral uveitis. Arch Intern Med 124:29, 1969

26. Mamo JG, Azzam SA: Treatment of Behçet's disease with chlorambucil. Arch Ophthalmol 84:446, 1970

27. Dinning WJ, Perkins ES: Immunosuppressive in uveitis: A preliminary report of experience with chlorambucil. Br J Ophthalmol 59:397, 1975

28. Godfrey WA, Epstein WV, O'Connor GR et al: The use of chlorambucil in intractable idiopathic uveitis. Am J Ophthalmol 78:415, 1974

29. Oniki S, Kurakazu K, Kawata K: Immunosuppressive treatment of Behçet's disease with cyclophosphamide. Jpn J Ophthalmol 20:32, 1976

30. Foster CS: Immunosuppressive therapy for external ocular inflammatory disease. Opthalmology 87:140, 1980

31. Bigos ST, Nisula BC, Daniels GH et al: Cyclophosphamide in the management of advanced Graves' ophthalmopathy: A preliminary report. Ann Intern Med 90:921, 1979

32. Rosenbaum JT: Treatment of severe refractory uveitis with intravenous cyclophosphamide. J Rheumatol 21:123, 1994

33. Char DH: Immunology of Uveitis and Ocular Tumors, pp 65–73. New York, Grune & Stratton, 1978

34. DeFronzo RA, Braine H, Colvin OM et al: Water intoxication in man after cyclophosphamide therapy. Ann Intern Med 78:861, 1973

35. Kende G, Sirkin SR, Thomas PRM et al: Blurring of vision, a previously undescribed complication of cyclophosphamide therapy. Cancer 44:69, 1979

36. Walpole AL: Carcinogenic action of alkylating agents. Ann NY Acad Sci 68:750, 1958

37. Hoffman GS, Kerr GS, Leavitt RY et al: Wegener's granulomatosis: an analysis of 158 patients. Ann Intern Med 116:488, 1992

38. Hitchings GH, Elion GB: Chemical suppression of the immune response. Pharmacol Rev 15:365, 1963

39. Crabtree GW: Mechanisms of action of pyrimidine and purine analogues. In Brodsky I, Kahn SB, Conroy JR (eds): Cancer Chemotherapy, pp 35–47. New York, Grune & Stratton, 1978

40. Lemmel E, Hurd ER, Ziff M: Differential effects of 6-mercaptopurine and cyclophosphamide on autoimmune phenomena in NZB mice. Clin Exp Immunol 8:355, 1971

41. Dutton RW, Pearce JD: A survey of the effect of metabolic antagonists on the synthesis of antibody in an in vitro system. Immunology 5:414, 1962

42. Borel Y, Fauconnet M, Miescher PA: Effect of 6-mercaptopurine (6-MP) on different classes of antibody. J Exp Med 122:263, 1965

43. Rollinghoff M, Schrader J, Wagner H: Effect of azathioprine and cytosine arabinoside on humoral and cellular immunity in vitro. Clin Exp Immunol 15:261, 1973

44. Hoyer LW, Condie RM, Good RA: Prevention of experimental allergic encephalomyelitis with 6-MP. Proc Soc Exp Biol Med 103:205, 1960

45. Borel Y, Schwartz RS: Inhibition of immediate and delayed hypersensitivity in rabbits by 6-mercaptopurine. J Immunol 92:754, 1964

46. Calne RY: The rejection of renal homografts inhibition in dogs by 6-mercaptopurine. Lancet 1:417, 1960

47. Giblett ER, Anderson JE, Cohen F et al: Adenosine-deaminase deficiency in two patients with severely impaired cellular immunity. Lancet 2:1067, 1972

48. James GD: Immunotherapy. Trans Ophthalmol Soc UK 97:468–473, 1977

49. Foster CS, Wilson LA, Ekins MB: Immunosuppressive therapy for progressive ocular cicatricial pemphigoid. Ophthalmology 89:340, 1982

50. Andrasch RH, Pirofsky B, Burns RP: Immunosuppressive therapy for severe chronic uveitis. Arch Ophthalmol 92:247, 1978

51. Moore CE: Sympathetic ophthalmitis treated with azathioprine. Br J Ophthalmol 52:688, 1968

52. Foster CS: Immunomodulation in ophthalmology. Int Ophthalmol Clin 23:193, 1983

53. Newell FW, Krill AE, Thomson A: The treatment of uveitis with 6-mercaptopurine. Am J Ophthalmol 61:1250, 1966

54. Aoki K, Sugiura S: Immunosuppressive treatment of Behçet's disease. Mod Probl Ophthalmol 16:309, 1976

55. Yazici H, Pazarli H, Barnes CG et al: A controlled trial of azathioprine in Behçet's syndrome. N Engl J Med 322:281, 1990

56. Hooper PL, Kaplan HJ: Triple agent immunosuppression in serpiginous choroiditis. Ophthalmology 98:944, 1991

57. Hertz R: Folic acid antagonists: Effects on the cell and the patient. Clinical Staff Conference at NIH. Ann Intern Med 59:931, 1963

58. Farber S, Diamond LK, Mercer RD et al: Temporary remission in acute leukemia in children produced by folic antagonist 4-amethopteroylglutamic acid (aminopterin). N Engl J Med 238:787, 1948

59. Skipper HT, Schabel FM Jr: Quantitative and cytokinetic studies in experimental tumor models. In Holland JF, Frei E III (eds): Cancer Medicine, pp 629–650. Philadelphia, Lea & Febiger, 1973

60. Berenbaum MC: Prolongation of homograft survival in guinea pigs: Effect of pretreatment with amethopterin. Transplantation 2:116, 1964

61. Levy L, Whitehouse MW: Selective stimulation of a cellular immune response by methotrexate. Agents Actions 4:113, 1974

62. Schwartz RS: Immunosuppressive drug therapy. In Rapaport FT, Dausset J (eds): Human Transplantation, pp 440–471. New York, Grune & Stratton, 1980

63. Heppner GH, Calabresi P: Selective suppression of humoral immunity by antineoplastic drugs. Ann Rev Pharmacol Toxicol 16:367, 1976

64. Currey HLF: A comparison of immunosuppressive and anti-inflammatory agents in the rat. Clin Exp Immunol 9:879, 1971

65. Weinstein GM: Methotrexate. Ann Intern Med 86:199, 1977

66. Gerber NL, Steinberg AD: Clinical use of immunosuppressive drugs: II. Drugs 11:90, 1976

67. Ramsay NKC, Kersey JH, Robison LL et al: A randomized study of the prevention of acute graft-versus-host disease. N Engl J Med 306:392, 1982

68. Wong VG: Immunosuppressive therapy of ocular inflammatory diseases. Arch Ophthalmol 81:628, 1969

69. Foster CS, Forstot L, Wilson LA: Mortality rate in rheumatoid arthritis patients with destructive ocular lesions: Effect of systemic immunosuppression. Ophthalmology 91:1253, 1984

70. Holz FG, Krastel H, Breitbart A et al: Low-dose methotrexate treatment in noninfectious uveitis resistant to corticosteroids. Ger J Ophthalmol 1:142, 1992

71. Shah SS, Lowder CY, Schmitt MA et al: Low-dose methotrexate therapy for ocular inflammatory disease. Ophthalmology 99:1419, 1992

72. Rootman J, Gudauskas G: Treatment of ocular leukemia with local chemotherapy. Cancer Treat Rep 69:119, 1985

73. Hargreaves MR, Mowat AG, Benson MK: Acute pneumonitis associated with low-dose methotrexate treatment for rheumatoid arthritis: Report of five cases and review of published reports. Thorax 47:628, 1992

74. Carroll GJ, Thomas R, Phatouras CC et al: Incidence, prevalence and possible risk factors for pneumonitis in patients with rheumatoid arthritis receiving methotrexate. J Rheumatol 21:51, 1994

75. Doroshow JH, Locker GY, Gaasterland DE et al: Ocular irritation from high-dose methotrexate therapy: Pharmacokinetics of drug in the tear film. Cancer 48:2158, 1981

76. Wenger R: Chemistry of cyclosporin. In White DJG (ed): Cyclosporin A, pp 19–34. Amsterdam, Elsevier Biomedical Press, 1982

77. Beveridge T: Pharmacokinetics and metabolism of cyclosporin A. In White DJG (ed): Cyclosporin A, pp 35–44. Amsterdam, Elsevier Biomedical Press, 1982

78. Dreyfuss M, Harri E, Hofmann H et al: Cyclosporin A and C: New metabolites from Trichoderma polysporum (Link ex Pers) Rifai. Eur J Appl Microbiol 3:125, 1976

79. Nussenblatt RB: Cyclosporine: Immunology, pharmacology, and therapeutic uses. Surv Ophthalmol 31:159, 1986

80. Thommen K: Antimalarial activity of cyclosporin A. Agents Action 11:770, 1981

81. Borel JF, Feurer C, Gubler HU et al: Biological effects of cyclosporin A: A new antilymphocytic agent. Agents Actions 6:468, 1976

82. Borel JF, Feurer C, Magnee C et al: Effects of the new anti-lymphocyte peptide cyclosporin A in animals. Immunology 32:1017, 1977

83. Borel JF, Wiesinger D: Effect of cyclosporin A on murine lymphoid cells. In Lucas DO (ed): Regulatory Mechanisms in Lymphocyte Activation, pp 716–718. New York, Academic Press, 1976

84. Wiesinger D, Borel JF: Studies on the mechanism of action of cyclosporin A. Immunology 156:454, 1979

85. Larsson EL: Cyclosporin A and dexamethasone suppress T-cell responses by selectively acting at distinct sites of the triggering process. J Immunol 124:2828, 1980

86. Cross SL, Halden NF, Lenardo MJ, Leonard WJ. Functionally distinct NF-kappa B binding sites in the immunoglobulin kappa and IL-2 receptor alpha chain genes. Science 244:466, 1989

87. Hess AD, Tutschka PJ: Effect of cyclosporin A on human lymphocyte responses in vitro. I. CsA allows for the expression of alloantigen-activated suppressor cells while preferentially inhibiting the induction of cytolytic effector lymphocytes in MLR. J Immunol 124:2601, 1980

88. Horsburgh T, Wood P, Brent L: Suppression of in vitro lymphocyte reactivity by cyclosporin A: Existence of a population of drug-resistant cytotoxic lymphocytes. Nature 286:609, 1980

89. Sweny P, Tidman N: The effect of cyclosporin A on peripheral blood T cell subpopulations in renal allografts. Clin Exp Immunol 47:445, 1982

90. Kunkl A, Klaus GGB: Selective effects of cyclosporin A on functional B cell subsets in the mouse. J Immunol 125:2526, 1980

91. Introna M, Allavena P, Spreafico F et al: Inhibition of human natural killer activity by cyclosporin A. Transplantation 31:113, 1981

92. Calne RY, Rolles K, White DJG et al: Cyclosporin A initially as the only immunosuppressant in 34 recipients of cadaveric organs: 32 kidneys, 2 pancreases, and 2 livers. Lancet 2:1033, 1979

93. Calne RY, Rolles K, White DJG et al: Cyclosporin A in clinical organ grafting. Transplant Proc 13:349, 1981

94. Powles RL, Clink HM, Spence D et al: Cyclosporin A to prevent graft-versus-host disease in man after allogeneic bone marrow transplantation. Lancet 1:327, 1980

95. Reitz BA, Wallwork JL, Hunt SA et al: Heart-lung transplantation: Successful therapy for patients with pulmonary vascular disease. N Engl J Med 306:557, 1982

96. Wick G, Muller PU, Schwarz S: Effect of cyclosporin A on spontaneous autoimmune thyroiditis of obese strain (OS) chickens. Eur J Immunol 12:879, 1982

97. Laupacis A, Stiller CR, Gardell C et al: Cyclosporin prevents diabetes in BB Wistar rats. Lancet 1:10, 1983

97a. Bolton C, Borel JF, Cuzner ML et al: Autoimmunity: Cyclosporin A therapy in experimental allergic encephalomyelitis. In White DJG (ed): Cyclosporin A, 135–142. Amsterdam, Elsevier Biomedical Press, 1982

98. Shepherd WFI, Coster DJ, Chin Fook T et al: Effect of cyclosporin A on the survival of corneal grafts in rabbits. Br J Ophthalmol 64:148, 1980

99. Salisbury JD, Gebhardt BM: Suppression of corneal allograft rejection by cyclosporin A. Arch Ophthalmol 99:1640, 1981

100. Hunter PA, Wilhelmus KR, Rice NSC et al: Cyclosporin A applied topically to the recipient eye inhibits corneal graft rejection. Clin Exp Immunol 45:173, 1981

101. Nussenblatt RB, Rodrigues MM, Wacker WB et al: Cyclosporin A: Inhibition of experimental autoimmune uveitis in Lewis rats. J Clin Invest 67:1228, 1981

102. Nussenblatt RB, Rodrigues MM, Salinas-Carmona MC et al: Modulation of experimental autoimmune uveitis with cyclosporin A. Arch Ophthalmol 100:1146, 1982

103. Nussenblatt RB, Salinas-Carmona MS, Waksman BH et al: Cyclosporin A: Alterations of the cellular immune response in S-antigen-induced experimental autoimmune uveitis. Int Arch Allergy Appl Immunol 70:289, 1983

104. Sumner HL, Meyers-Elliot RH: Cellular events in the initiation and progression of rhodopsin-induced experimental autoimmune uveitis (EAU-retinopathy) in strain 13 guinea pigs. Invest Ophthalmol Vis Sci 22 (suppl 3):263, 1982

105. Nussenblatt RB, Palestine AG, Rook AH et al: Cyclosporine therapy of intraocular inflammatory disease. Lancet ii:235, 1983

106. Nussenblatt RB, Palestine AG, Chan CC: Cyclosporine therapy in the treatment of intraocular inflammatory disease resistant to systemic corticosteroids or cytotoxic agents. Am J Ophthalmol 96:275, 1983

107. Towler HM, Whiting PH, Forrester JV: Combination low dose cyclosporin A and steroid therapy in chronic intraocular inflammation. Eye 4 (pt 3):514, 1990

108. Secchi AG, De Rosa C, Pivetti-Pezzi P et al: Open noncontrolled multicenter long-term trial with cyclosporin in endogenous non-infectious uveitis. Ophthalmologica 202: 217, 1991

109. Leznoff A, Shea M, Binkley KE et al: Cyclosporine in the treatment of nonmicrobial inflammatory ophthalmic disease. Can J Ophthalmol 27:302, 1992

110. de Smet MD, Rubin BI, Whitcup SM et al: Combined use of cyclosporine and ketoconazole in the treatment of endogenous uveitis. Am J Ophthalmol 113:687, 1992

111. Shulman H, Striker G, Deeg HJ et al: Nephrotoxicity of cyclosporin A after allogeneic marrow transplantation. N Engl J Med 305:1392, 1981

112. Hedley D, Rowles RL, Morgenstein GR: Toxicity of cyclosporin A in patients following bone marrow transplantation. In White DJG (ed): Cyclosporin A, pp 545–552. Amsterdam, Elsevier Biomedical Press, 1982

113. Palestine AG, Austin HA, Balow JE et al: Renal histopathologic alterations in patients treated with cyclosporine for uveitis. N Engl J Med 314:1293, 1986

114. Isenberg DA, Snaith ML, Al-Khader AA et al: Cyclosporine relieves arthralgia, causes angioedema. N Engl J Med 303:754, 1980

115. Kino T, Hatanabe H, Hashimoto M et al: FK506, a novel immunosuppressant isolated from streptomyces. I. Fermentation, isolation, and physiochemical and biological characteristics. J Antibiot 40:1249, 1987

116. Kino T, Hatanaka H, Miyato S et al: FK506, a novel immunosuppressant isolated from a streptomyces. II. Immunosuppressive effect of FK506 in vitro. J Antibiot 40:1256, 1987

117. Mochizuki M, Masuda K, Sakane T et al: A clinical trial of FK506 in refractory uveitis. Am J Ophthalmol 115:763, 1993

118. Mochizuki M: Japanese FK506 Study Group on Refractory Uveitis in Behçet's Disease. In Wechsler B, Godeau P (eds): Behçet's Disease: Proceedings of the 6th International Conference on Behçet's Disease, pp 655–660. Amsterdam, Excerpta Medica, 1993

119. Stendahl O, Molin L, Dahlgren C: The inhibition of polymorphonuclear leukocyte cytotoxicity by dapsone. J Clin Invest 62:214, 1978

120. Barranco VP: Inhibition of lysosomal enzymes by dapsone. Arch Dermatol 110:563, 1974

121. Millikan LE, Conway FR: Effect of drugs on the Pillemer pathway--dapsone. J Invest Dermatol 62:541, 1974

122. Thompson DM, Souhami R: Suppression of the Arthus reaction in the guinea pig by dapsone. Proc R Soc Med 68:273, 1975

123. Griffin JD, Garnick MB: Eye toxicity of cancer chemotherapy: A review of the literature. Cancer 48:1539, 1981

124. Williams K, Capstick RB, Lewis DA et al: Anti-inflammatory actions of dapsone and its related biochemistry. J Pharm Pharmacol 28:555, 1976

125. Katz SI: Dermatitis herpetiformis. In Lichtenstein LM, Fauci AS (eds): Current Therapy in Allergy and Immunology, 1983-1984, pp 154–156. Philadelphia, BC Decker, 1983

126. Cupps TR, Fauci AS: Cutaneous vasculitis. In Lichtenstein LM, Fauci AS (eds): Current Therapy in Allergy and Immunology, 1983-1984, pp 136–139. Philadelphia, BC Decker, 1983

127. Rogers RS, Seehafer JR, Perry HO: Treatment of cicatricial (benign mucous membrane) pemphigoid with dapsone. J Am Acad Dermatol 6:215, 1982

128. Diaz LA, Provost TT: Bullous pemphigoid. In Lichtenstein ML, Fauci AS (eds): Current Therapy in Allergy and Immunology, 1983-1984, pp 171–172. Philadelphia, BC Decker, 1983

129. DeGowin RL: A review of therapeutic and hemolytic effects of dapsone. Arch Intern Med 120:242, 1967

130. Malawista SE: The action of colchicine in acute gouty arthritis. Arthritis Rheum 19 (suppl):835, 1975

131. Mizushima Y, Matsumura N, Mori M et al: Colchicine in Behçet's disease. Lancet 1:1037, 1977

132. Baer JC, Foster CS, Raizman MB: Ocular Behçet's syndrome: Clinical presentation and visual outcome in 26 patients. Ophthalmology 96 (suppl):128, 1989

133. Zurier RB: Prostaglandins, immune responses and inflammation. In Helmsen RJ, Suran AA, Gery I et al (eds): Immunology of the Eye Workshop II: Autoimmune Phenomena and Ocular Disorders. Immunology Abstracts 273, 1981

134. Williams TJ, Peck MJ: Role of prostaglandin-mediated vasodilation in inflammation. Nature 270:530, 1977

135. Kuehl FA Jr, Humes JL, Egan RW et al: Role of prostaglandin endoperoxide PGG2 in inflammatory processes. Nature 265:170, 1979

136. Moncada S, Ferreira SH, Vane JR: Prostaglandins, aspirin-like drugs and the oedema of inflammation. Nature 246:217, 1973

137. Turner SR, Campbell JA, Lynn WS: Polymorphonuclear chemotaxis toward oxidized lipid components of cell membranes. J Exp Med 141:1437, 1975

138. Leung KH, Mihich E: Prostaglandin modulation of development cell-mediated immunity in culture. Nature 288:597, 1980

139. Zurier RB, Ballas M: Prostaglandin E1 (PGE1) suppression of adjuvant arthritis. Arthritis Rheum 16:251, 1973

140. Kunkel SL, Thrall RS, McCormick JR et al: Suppression of immune complex vasculitis in rats by prostaglandins. J Clin Invest 64:1525, 1979

141. Vane JR: Inhibition of prostaglandin synthesis as a mechanism of action for aspirin-like drugs. Nature 231:232, 1971

142. Ferrerra SH, Moncada S, Vane JR: Indomethacin and aspirin abolish prostaglandin release from the spleen. Nature 231:237, 1971

143. Smith JB, Willis AL: Aspirin selectively inhibits prostaglandin production in human platelets. Nature 231:235, 1971

144. Flower RJ, Moncada S, Vane JR: Analgesic-antipyretics and anti-inflammatory agents; drugs employed in the treatment of gout. In Gilman AG, Goodman LS, Gilman A (eds): The Pharmacological Basics of Therapeutics, 6th ed pp 1263–1268. New York, Macmillan, 1980

145. Pinals RS, Frank S: Relative efficacy of indomethacin and acetylsalicylic acid in rheumatoid arthritis. N Engl J Med 276:512, 1967

146. Godfrey RG, Calabro JJ, Mills D et al: A double blind crossover trial of aspirin, indomethacin, and phenylbutazone in ankylosing spondylitis. Arthritis Rheum 15:110, 1972

147. Zuckerman H, Reiss U, Rubenstein I: Inhibition of human premature labor by indomethacin. Obstet Gynecol 44:787, 1974

148. Heymann MA, Rudolph AM, Silverman NH: Closure of the ductus arteriosus in premature infants by inhibition of prostaglandin synthesis. N Engl J Med 295:530, 1976

149. Klein RM, Katzin HM, Yannuzzi LA: The effect of indomethacin pretreatment on aphakic cystoid macular edema. Am J Ophthalmol 87:487, 1979

150. Miyake K: Prevention of cystoid macular edema after lens extraction by topical indomethacin. I. A preliminary report. Albrect Von Graefes Arch Klin Exp Ophthalmol 203:81, 1977

151. Yannuzzi LA, Landau AU, Turtz AI: Incidence of aphakic cystoid macular edema with the use of topical indomethacin. Ophthalmology 88:947, 1981

152. Miyake K, Sugiyama S, Norimatsu I et al: Prevention of cystoid macular edema after lens extraction by topical indomethacin. III. Radioimmunoassay measurement of prostaglandins in the aqueous during and after lens extraction procedures. Albrect Von Graefes Arch Klin Exp Ophthalmol 209:83, 1978

153. Kraff MC, Sanders DR, Jampol LM et al: Prophylaxis of pseudophakic cystoid macular edema with topical indomethacin. Ophthalmology 89:885–890, 1982

154. Miyake K, Miyake Y, Maekubo K et al: Incidence of cystoid macular edema after retinal detachment surgery and the use of topical indomethacin. Am J Ophthalmol 95:451, 1983

155. Jampol LM: Pharmacologic therapy of aphakic cystoid macula edema. Ophthalmology 89:891, 1982

156. Perkins ES, MacFaul PA: Indomethacin in the treatment of uveitis: A double-blind trial. Trans Ophthalmol Soc UK 85:53, 1965

157. Abelson MB, Butrus SI, Weston JH: Aspirin therapy in vernal conjunctivitis. Am J Ophthalmol 95:501, 1983

158. Abel JJ, Rowntree LG, Turner BB: Plasma removal with return of corpuscles. J Pharm Exp Ther 5:625, 1914

159. Skoog WA, Adams WS: Plasmapheresis in a case of Waldenström's macroglobulinemia. Clin Res 7:96, 1959

160. Branda RF, Moldow CF, McCullough JJ et al: Plasma exchange in the treatment of immune disease. Transfusion 15:570, 1975

161. Jones JV: Plasmapheresis in SLE. Clin Rheum Dis 8:243, 1982

162. Schur PH, Sandson J: Immunologic factors and clinical activity in systemic lupus erythematosus. N Engl J Med 278:533, 1968

163. Frank MM, Hamburger MI, Lawley TJ et al: Defective reticuloendothelial system Fc-receptor function in systemic lupus erythematosus. N Engl J Med 300:518, 1979

164. Dandona P, Marshall NJ, Bidey SP et al: Successful treatment of exophthalmos and pretibial myxoedema with plasmapheresis. Br Med J 10:374, 1979

165. Lewis RA, Slater N, Croft DN: Exophthalmos and pretibial myxoedema not responding to plasmapheresis. Br J Med 11:390, 1979

166. Saraux H, Le Hoang P, Audebert AA et al: Intérêt de la plasmapherese dans le traitement du syndrome de Behçet. Bull Soc Ophtalmol Fr 82:41, 1982

167. Wing EJ, Bruns FJ, Fraley DS et al: Infectious complications with plasmapheresis in rapidly progressive glomerulonephritis. JAMA 244:2423, 1980

168. Cardella CL: Plasma exchange--a new approach to immune modulation in rheumatic diseases. J Rheumatol 6:606, 1979

169. Inderbitzen T: The relationship of lymphocytes, delayed cutaneous allergic reactions and histamine. Int Arch Allergy 8:150, 1956

170. Taub RN, Deutch V: Antilymphocytic serum. Pharmacol Ther 2:89, 1977

171. Waksman BH, Arbouys S, Arnason BG: The use of specific “lymphocyte” antisera to inhibit hypersensitive reactions of the “delayed” type. J Exp Med 114:997, 1961

172. Mandel MA, Asofsky R: The effects of heterologous anti-thymocyte sera in mice. I. The use of a graft-versus-host assay as a measure of homograft reactivity. J Immunol 100:1319, 1968

173. Monaco AP, Wood ML, Gray JG et al: Studies on heterologous anti-lymphocyte serum in mice. II. Effect on the immune response. J Immunol 96:229, 1966

174. Kerbel RS, Eidinger D: Variable effects of antilymphocyte serum on humoral antibody formation: Role of thymus dependency of antigen. J Immunol 106:917, 1971

175. Touraine JL, Malik MC, Traeger J: Antilymphocyte globulin and thoracic duct drainage in renal transplantation. In Salaman JR (ed): Immunosuppressive Therapy, pp 55–73. Philadelphia, JB Lippincott, 1981

176. Cosimi AB, Burton RC, Kung PC et al: Evaluation in primate renal allograft of monoclonal antibody to human T cells subclasses. Transplant Proc 13:499, 1981

177. Prentice HG, Blacklock HA, Janossy G et al: Use of anti-T-cell monoclonal antibody OKT3 to prevent acute graft-versus-host disease in allogeneic bone marrow transplantation for acute leukemia. Lancet 1:700, 1982

178. Ring J, Dechant W, Seifert J et al: Immunosuppression with antilymphocyte globulin (AL6) in the treatment of ophthalmic disorders. Ophthalmol Res 10:82, 1978

179. Brown PS, Parenteau GL, Dirbas FM et al: Anti-Tac-H, a humanized antibody to the interleukin 2 receptor, prolongs primate cardiac allograft survival. Proc Natl Acad Sci USA 88:2663, 1991

180. Soulilou JP, Peyronnet P, Le Mauff B et al: Randomized controlled trial of a monoclonal antibody against the interleukin-2 receptor (33B3. 1) as compared with rabbit antithymocyte globulin for prophylaxis against rejection of renal allografts. N Engl J Med 322:1175, 1990

181. Blaise D, Olive D, Hirn M et al: Prevention of acute GVHD by in vivo use of anti-interleukin-2 receptor monoclonal antibody (33B3.1): a feasibility trial in 15 patients. Bone Marrow Transplant 8:105, 1991

182. Whitcup SM, Chan CC, Li Q, Nussenblatt RB: Expression of cell adhesion molecules in posterior uveitis. Arch Ophthalmol 110:662, 1992

183. Whitcup SM, DeBarge LR, Rosen H et al: Monoclonal antibody against CD11b/CD18 inhibits endotoxin-induced uveitis. Invest Ophthalmol Vis Sci 34:673, 1993

184. Whitcup SM, DeBarge LR, Caspi RR et al: Monoclonal antibodies against ICAM-1 (CD54) and LFA-1 (CD11a/CD18) inhibit experimental autoimmune uveitis. Clin Immunol Immunopathol 67:143, 1993

185. Wells H: Studies on the chemistry of anaphylaxis. III. Experiments with isolated proteins, especially those of hen's egg. J Infect Dis 9:147, 1911

186. Bitar DM, Whitacre CC: Suppression of experimental autoimmune encephalomyelitis by the oral administration of myelin basic protein. Cell Immunol 112:364, 1988

187. Nussenblatt RB, Caspi RR, Mahdi R et al: Inhibition of S-antigen induced experimental autoimmune uveoretinitis by oral induction of tolerance with S-antigen. J Immunol 144:1689, 1990

188. Weiner HL, Mackin GA, Matsui M et al: Double-blind pilot trial or oral tolerization with myelin antigens in multiple sclerosis. Science 259 (5099):1321, 1993

189. Trentham DE, Dynesius-Trentham RA, Orav EJ et al: Effects of oral administration of type II collagen on rheumatoid arthritis. Science 261 (5129):1727, 1993

Back to Top