Chapter 81
Anesthesia for the Pediatric Ophthalmology Patient
SUSAN K. WOELFEL and BARBARA W. BRANDOM
Main Menu   Table Of Contents

Search

PREOPERATIVE EVALUATION ASA CLASSIFICATION
PREOPERATIVE PREPARATION LABORATORY STUDIES
ANESTHESIA
INTRAOPERATIVE CONCERNS
POSTOPERATIVE CONCERNS
CONCLUSION
REFERENCES

Unlike adult ophthalmic procedures, most procedures in children are performed using general anesthesia. Because most such procedures are elective, the patient should be in an optimal state of health at the time of surgery. Clear communication among the surgeon, patient and patient's family, and anesthesiologist is essential. Parents of children with any medical problems are encouraged to talk to an anesthesiologist before the day of surgery. A review article1 documented perioperative morbidity rates and mortality in pediatric patients during a 6-year study period that involved 29,220 uses of anesthesia. Two findings of this review are particularly noteworthy. First, infants younger than 1 month of age have the greatest risk of perioperative adverse events, the most significant of which is cardiovascular or respiratory depression. Cardiac arrest occurred nine times as often in this age group compared with children over 1 year of age. Events such as hypotension, laryngospasm, or apnea occurred intraoperatively, in the recovery room, and within the first 72 hours postoperatively. Most of these infants were American Society of Anesthesiologist (ASA) physical status (PS) III–V (Table 1) having major abdominal surgery. Second, the study found little difference in the incidence of intraoperative complications between the pediatric group older than 1 month of age and adults (9 versus 10.6, respectively, per 10,000 cases) with the exception that children do experience twice as many adverse events in the recovery room (13 for children versus 5.9 for adults per 10,000 cases); airway obstruction is the most frequent event. Another frequent postoperative problem is the combination of nausea and vomiting (30% in children versus 5% in adults). Possible explanations for this last finding include less use of retrobulbar blocks in younger patients, undertreatment of pain in children, or type of surgical procedure. For example, after repair of strabismus, incidence of postoperative nausea and vomiting may be as high as 80%.

 


 

A more recent collection of cardiac arrest data reveals that anesthesia is a major cause of cardiac arrest in ASA PS III–IV patients who have a cardiac arrest in the operating room. In addition, outcome is much better in healthy PS I–II patients, with 6% mortality compared with 55% mortality in PS III–IV patients when a cardiac arrest does occur.2 The anesthetic problems in this review were attributed to drug administration, including relative anesthetic overdose, wrong drug or dose, and allergic reaction.

Additional reviews3,4 found that the incidence of cardiac arrest in children less than 1 year of age was 0 (zero) when a trained pediatric anesthesiologist was present versus 19.7 per 10,000 anesthetics when a nonpediatric anesthesiologist was supervising. Similarly, incidence of bradycardia was half as likely in the presence of a trained pediatric anesthesiologist.

The goal of this chapter is to review the measures taken to provide safe anesthesia and recovery for a child undergoing ocular surgery. The details of anesthetic management are influenced by the individual patient and type of surgery. On any given day, the variety of ocular surgeries performed may include a healthy 5-year-old who has been treated with echothiophate iodide and is undergoing an extraocular muscle resection of 10 minutes' duration, a 6-week-old (born prematurely at 28 weeks' gestation) undergoing scleral buckling of 2 hours duration, and a frightened 3-year-old with a penetrating eye injury. The factors common to all these patients include the need for preoperative evaluation, including preoperative fasting, airway management with specialized endotracheal tubes or a laryngeal mask airway (LMA), intraoperative monitoring,administration of analgesics and antiemetics, andintraoperative and postoperative administrationof intravenous fluid, the potential occurrence of oculocardiac reflex (OCR), postoperative croup, pain, nausea, and vomiting; and the determination of discharge criteria.

Back to Top
PREOPERATIVE EVALUATION ASA CLASSIFICATION
All patients must be evaluated by an anesthesiologist before surgery. This is often done on the day of surgery for healthy children. The physical status (PS I to V) is a method to evaluate and communicate the condition of the child (see Table 1). If the child has systemic disease, the primary care physician should perform a preoperative evaluation to determine whether the child's disease has been optimally treated. A letter reviewing the child's medical problems and treatment is a useful source of information for the anesthesiologist preoperatively.

INFECTIOUS DISEASES

Upper Respiratory Tract Infection Versus Allergic Rhinitis

Young children, especially those in day care or school settings, experience frequent upper respiratory tract infections. The child with a runny nose (clear rhinorrhea) and no other symptoms of illness may have allergic rhinitis or vasomotor rhinitis rather than viral infection. If the clinical state of a child with allergic rhinitis is stable, then that child is a candidate for elective surgery. Clear rhinorrhea can complicate general anesthesia by increasing the likelihood of laryngospasm and oxygen desaturation resulting from secretions in the pharynx and larynx. If an antihistamine is being given preoperatively to a child with allergic rhinitis, this medication should be continued up until surgery because it may decrease the likelihood of airway problems intraoperatively. Conversely, if symptoms of bacterial infection such as lethargy, high fever (temperature over 39°C), decreased appetite, purulent drainage, and productive cough are present, there is an unacceptable risk because of the possibility of progression to serious diseases such as pneumonia or sepsis. A child with an upper respiratory tract infection may transmit the infection to health care workers and other patients. With such potential complications, elective surgery should be rescheduled for a time when the symptoms have resolved (about 2 to 4 weeks). The child may be evaluated by the attending pediatrician to ensure that the problem has resolved satisfactorily.

Other Infectious Diseases

Preoperative evaluation of all potentially infectious conditions is especially important in children. The child with fever, vomiting, or diarrhea who is scheduled for an elective procedure should have the surgery rescheduled when symptoms have resolved. These symptoms may be exacerbated by anesthesia and this may complicate intraoperative and postoperative management. For example, a rapid increase in temperature may suggest the presence of malignant hyperthermia, and vomiting may increase the risk of aspiration during the procedure and produce significant postoperative pulmonary complications.

A child with chickenpox is infectious for several days before the appearance of the pustules until scabs form over the skin lesions. The expected time from exposure to development of this disease is 11 to 21 days. Those children who are capable of transmitting the disease to other patients should not come to the hospital, and their surgery should be delayed for 21 days. If a child has any other acute infectious disease, elective ocular surgery should be postponed until that disease is resolved.

Another example of a common disease process in infants and children is otitis media. Acute otitis media should be resolved as determined by a pediatrician before elective ocular surgery. A child on prophylactic medication for chronic otitis media is a candidate for elective surgery.

PEDIATRIC DISEASES AND CONDITIONS

Asthma

Asthma is a common pediatric disease that requires careful documentation of the preoperative status. The goal is to have the patient in optimal condition preoperatively, to have a deep plane of anesthesia, and to avoid any stimulus that may precipitate bronchospasm. An LMA may be used instead of an endotracheal tube because it provides a less noxious stimulus. Halothane and sevoflurane are often used because they promote bronchodilatation. If the asthmatic child is taking oral steroids, a steroid boost is not necessarily required preoperatively for a brief ocular procedure. However, the anesthesiologist must be aware of the possible need for supplemental doses of steroid intraoperatively or post-operatively. In addition, inhaled bronchodilators should be available in the operating room.

Diabetes Mellitus

Diabetes mellitus is a serious illness in pediatric patients that requires careful planning to avoid perioperative complications. The unstable juvenile diabetic patient may be admitted to the hospital the night before an operation to receive intravenous maintenance fluids containing glucose and insulin to prevent dehydration and to allow blood glucose to be monitored. The stable diabetic patient may be admitted the morning of surgery. The preoperative dose of insulin should be less than the usual morning's dose, and surgery should be scheduled early in the day, as the first procedure whenever possible. When insulin is given, glucose-containing solutions should be administered at maintenance rates and blood glucose levels should be monitored with a glucometer intraoperatively and postoperatively. After minor procedures and as soon as well-controlled patients are able to take fluid by mouth postoperatively, they may be discharged home if a responsible adult is present. Patients with brittle diabetes should be monitored for a longer period before discharge; sometimes it is necessary to keep them overnight.

Prematurity

Children born prematurely often have complex medical problems and significant disease that involves several systems. The premature infant with periodic breathing is at increased risk for apneic and bradycardic episodes in the perioperative period.5 Postoperative instability of the ventilatory drive and pulmonary complications, such as atelectasis or bronchospasm, are common in patients with residual bronchopulmonary dysplasia. A pediatrician should thoroughly evaluate these children and document their baseline pulmonary status. A notation such as “OK for anesthesia” is not useful, whereas specific suggestions for management such as “this child requires 2 L oxygen by nasal cannula at home; the chest x-ray shows no new changes; lungs on auscultation reveal coarse bilateral breath sounds that clear after treatment with inhaled bronchodilators” are useful. With a statement such as this, an established baseline status and recommended therapeutic management are clarified, and a reasonable plan for the management of potential complications is identified. See the later section on Inpatient Versus Outpatient for postoperative care of these children. These infants may not tolerate IV fluid replacement over 2 to 3 hours as term infants will be able to do, because it may increase the work of breathing. They may have poor IV access as well. A baseline oxygen saturation should be measured before induction of anesthesia. Bronchodilators should be available. Normal temperature should be maintained.

Down Syndrome

Ophthalmic problems and several systemic illnesses or malformations are commonly associated with trisomy 21 or Down syndrome. Children with Down syndrome have mental retardation ranging from severe to very mild and also have a high incidence (20%) of atlantoaxial instability. Neurologic and radiologic evaluations should be performed on any patient with symptoms of sensory or motor dysfunction in the limbs or with neck pain. If a child has an unstable neck, then extension of the neck (i.e., as is usual for intubation) may injure the spinal cord. In addition, extra care should be taken in positioning this child's head and neck while the muscles are relaxed under anesthesia.

Children with Down syndrome also have macroglossia and subglottic stenosis (25% of patients), which frequently complicates airway management. The use of an oral airway or the jaw thrust maneuver may prevent airway obstruction on induction of anesthesia. For the same reason, such a child ordinarily should be extubated when fully awake and muscle function of the airway has returned to normal.

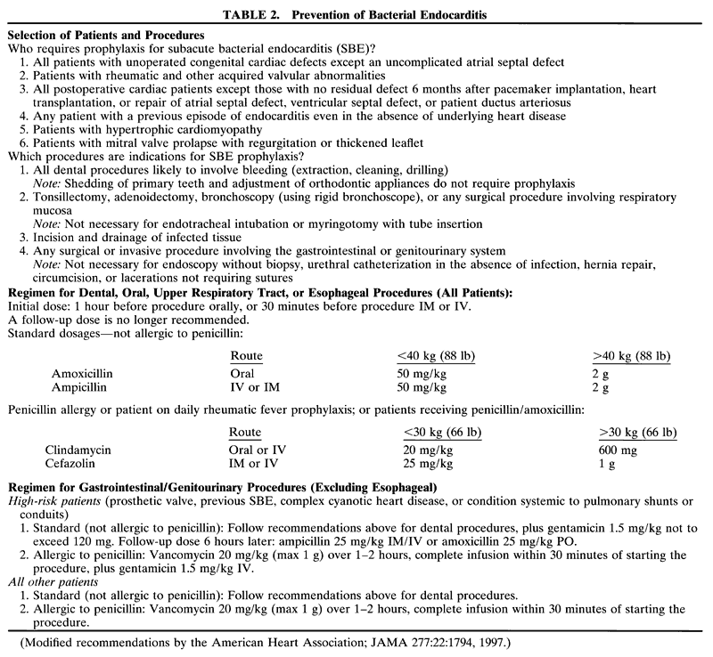
These patients usually require atropine on induction if halothane is administered. Patients with Down syndrome also have a high incidence (50%)of associated cardiovascular disease, with a ventricular septal defect or an atrioventricular canal the most common malformations. If a murmur is present, a full evaluation by the pediatric cardiologist is indicated using available electrocardiographic, radiographic, echocardiographic, and cardiac catheterization data. The most recent (1997) recommendations for subacute bacterial endocarditis (SBE) prophylaxis are presented in Table 2.

 


 

Congenital Heart Disease

Any child with congenital heart disease should be evaluated by a cardiologist so that the cardiovascular state is optimized and medication levels are therapeutic. Cardiovascular shunts (i.e., Blalock-Taussig shunts) should be evaluated for proper functioning. Baseline pulse oximetric values should be available. Cyanotic children should not be polycythemic, and the hematocrit value should be decreased to less than 60% before elective surgery. The cardiologist should note whether SBE prophylaxis is warranted and if so which antibiotics are most appropriate. Most ophthalmic operations do not produce bacteremia. SBE prophylaxis is not required for endotracheal intubation alone or forprobe and irrigation of the nasolacrimal duct. WhenSBE prophylaxis is required, ampicillin 50 mg/kgmay be administered intravenously after induction of anesthesia instead of administering oral drug preoperatively. (See Table 2 for the current guidelines.)

Sickle Cell Anemia

Sickle cell anemia occurs in black and Mediterranean populations. Preoperative evaluation of the hemoglobin (Hgb) S level and transfusion of blood to reduce the Hgb S level to less than 40% has been recommended in the past. More recently, data show that if Hgb is 10, no adverse effects are likely during minor surgical procedures provided all other factors are treated (i.e., avoid hypothermia, dehydration,hypoxia, acidosis). Thus, children with sickle cell anemia require oxygen in the recovery room until fully awake. Outpatient surgery is acceptable for minor procedures, but any surgery or drugs that depress respiration could precipitate a sickling crisis. The narcotic requirement may be greater than expected because tolerance may develop during treatment of the painful crises characteristic of this disease. These data may be obtained during the preoperative evaluation.

Congenital Syndromes and Craniofacial Abnormalities

Some congenital syndromes have systemic as well as ocular manifestations. For example, patients with Kearns-Sayre syndrome have heart block, and those with Wagner-Stickler syndrome have mitral valve prolapse and micrognathia.

A list of congenital syndromes with a description of the disease state and anesthetic implications is given in the appendix of Anesthesia for Infants and Children, edited by Motoyama and Davis.6

Patients with craniofacial syndromes may pre-sent for surgical treatment of strabismus or eyelidabnormalities. Some of these syndromes, espe-cially Treacher Collins, Apert, and Goldenhar syndromes, also involve abnormal airway anatomy that makes tracheal intubation difficult or impossible. Appropriate preoperative evaluation of the child's airway by the anesthesiologist and discussion of airway management (i.e., of the possible need for a tracheostomy or postoperative care in the inten-sive care unit) with the family should occur beforethe day of surgery. Appropriate caregivers (e.g.,the pediatric laryngologist) and equipment (e.g., fiberoptic bronchoscope, Bullard laryngoscope, light-wand, intubating LMA) should be available at thetime of surgery. It is more common to see children with a cleft lip or palate who present for eye surgery. They usually have no special preoperative needs, except if they have had prior surgery, they may strongly dislike the mask induction, either an intravenous induction or preoperative medication to decrease anxiety is recommended.

Common Neurologic Diseases

Cerebral palsy is a static neurologic condition that occurs in 2 to 4 of 10,000 live births. The most common etiologic factor is prematurity. Cerebral palsy patients often include those who cannot communicate, cannot move or straighten their limbs, and those who have frequent seizures and gastroesophageal reflux. Preoperatively, seizures should be controlled and appropriate medication (ranitid-ine hydrochloride, metoclopramide hydrochloride, or cisapride) given for gastroesophageal reflux. On induction, these children may be at risk for aspiration. Seizure medication should be resumed as soon as possible postoperatively. Care should be taken to comfortably support the patient's arms and legs intraoperatively. All prophylactic antibiotics (e.g., against urinary infection) should be continued during the perioperative period.

INPATIENT VERSUS OUTPATIENT

It is very unusual for patients to be admitted the day before surgery. An exception might be a child with brittle diabetes mellitus. Most children go home after the procedure the same day unless their underlying disease requires monitoring or if there have been significant anesthetic complications such as post obstructive pulmonary edema.

Any infant younger than 44 weeks' postconceptional age or one who has a history of apnea and bradycardia should be admitted postoperatively for at least 12 hours of respiratory monitoring.6 Caffeine is sometimes used to treat expremature infants with postoperative apnea. Full-term infants should be at least 1 month of age before elective surgery. Infants and children should have their elective surgery scheduled early in the day so their fasting time is not prolonged by delays in the operating schedule. Arbitrary limits on the minimum age to be accommodated at an ambulatory center may be imposed because of limited staff experience or training, or a lack of availability of equipment or consultants for small infants. Patients who are likely to have complications due to preexisting medical conditions such as diabetes, latex allergy, or malignant hyperthermia susceptibility should have surgery scheduled where these problems are most easily managed. This may mean surgery occurs in a hospital rather than an ambulatory center.

Back to Top
PREOPERATIVE PREPARATION LABORATORY STUDIES
The need for preoperative laboratory evaluation, if any, should be determined on an individual basis. Most pediatric anesthesiologists do not require healthy infants or children to undergo any routine laboratory studies.7 If the child has a systemic illness (e.g., diabetes mellitus) or if the procedure has the potential for a large amount of blood loss (e.g., excision of a vascular tumor), then appropriate preoperative laboratory studies (blood glucose, Hgb, or hematocrit and a type and cross for blood) should be obtained. Children taking anticonvulsants should be observed during follow-up by their pediatrician or neurologist and have therapeutic blood levels.

MEDICATION

Most routine medications should be continued until the time of surgery. This is especially important for children with asthma, seizures, or gastric reflux disease. Medication should be taken with a small amount of water (15 ml).

Echothiphate iodide (Phospholine) is one drug that should be discontinued 4 to 6 weeks before surgery. Because plasma cholinesterase activity is significantly decreased by this drug, anesthetic adjuvants such as succinylcholine, mivacurium, and ester local anesthetics cannot be metabolized and therefore have a prolonged duration of action. If echothiophate iodide cannot be discontinued preoperatively or surgery is not elective, it is essential that the anesthesiologist be aware that the patient has recently received this medication.

FASTING GUIDELINES

Guidelines for fasting before anesthesia have undergone reevaluation and evolution over the past few years. Many studies have confirmed that pH and volume of stomach contents are no worse after a 2-to 3-hour fasting period for clear liquids or an 8-hour period for solids than after a longer fasting period. For healthy pediatric patients of all ages, we recommend that solids be withheld 8 hours before surgery, and that clear liquids be withheld 2 to 3 hours before surgery. If gastrointestinal function is abnormal, such as in patients with esophagitis, frequent regurgitation, nausea, repaired tracheoesophageal fistula, or prior esophageal surgery, or if increased intracranial pressure, obesity, or pregnancy is present, then the fasting period should be increased to 6 to 8 hours for clear liquids and to 12 hours for solids.

Back to Top
ANESTHESIA
General anesthesia is a state of unconsciousness that includes analgesia and amnesia with or without muscle relaxation. The process of anesthesia may begin with premedication. Vital signs are monitored from the time of administration of depressant medication until recovery of consciousness. The anesthesiologist evaluates the patient postoperatively to ensure no complications have occurred.

PREMEDICATION

Premedication is given to decrease the child's anxiety, provide sedation, and facilitate both separation from parents and acceptance of mask or intravenous induction of anesthesia. Premedication should not be given to every child. Children younger than 6 months of age should not routinely receive premedication, nor should any child with upper airway obstruction (e.g., large tonsils, a history of long respiratory pauses while asleep), because sedation may easily depress spontaneous ventilation in these patients. In addition, patients with intracranial pathology (increased intracranial pressure) or end-stage liver or renal disease may experience an excessive degree of sedation. However, the anxious 1- to 5-year-old child will most likely benefit from sedation before coming to the operating room.

Midazolam administered intranasally (0.2 to0.3 mg/kg) or orally as elixer (0.3 to 0.5 mg/kg with maximum of 20 mg) has largely replaced oral diazepam (0.1 to 0.2 mg/kg) as the preferred agent for sedation in outpatient pediatric surgery. The onset of maximum effect of intranasal midazolam is rapid (10 to 15 minutes), and postoperative sedation is minimal. However, there is significant potentiation of the respiratory depressant effects of narcotics by midazolam. Fentanyl (1 to 2 μg/kg) may be given intravenously immediately before induction because of the rapid onset of its sedative and analgesic effects if an IV is present.

Preoperatively, antibiotics may be administered as prophylaxis against infection, especially for SBE in a child with congenital heart disease. Antibiotics may be administered intravenously immediately after induction of anesthesia and placement of the intravenous catheter and before intubation and start of surgery. Ampicillin, 50 mg/kg, is recommended; if an allergy to penicillin or cephalosporin antibi-otics exists, clindamycin (20 mg/kg) or vancomycin(20 mg/kg) is prescribed. Vancomycin can cause hypotension, so it must be administered over a 1-hour period (see Table 2).

REGIONAL ANESTHESIA

Some children may undergo ocular surgery with regional nerve blocks and sedation, but most young patients require a general anesthetic. If regional nerve blocks and supplementary sedation are administered, an anesthetist should always monitor the child throughout the procedure because sedation may produce complete loss of consciousness and airway reflexes. The same preoperative evaluation and fasting requirements, use of monitoring equipment, and written documentation are required for a procedure that is performed with intravenous sedation instead of general anesthesia.8

EQUIPMENT

Noninvasive continuous intraoperative monitoring includes auscultation with a precordial stethoscope, pulse oximetry, and an electrocardiogram, as well as noninvasive blood pressure and temperature determinations. End-tidal carbon dioxide and concentrations of potent inhalation agents are also monitored continuously when an endotracheal tube or LMA is in place. A peripheral nerve stimulator should be used to monitor neuromuscular function whenever neuromuscular blocking drugs are administered.

Temperature (skin, rectal, or esophageal) is routinely monitored. Some heat is lost through evaporation from the lungs and radiation from the large body surface of the infant. Measures to decrease heat loss include increasing the temperature of the operating room, using radiant heat lamps, warming the inspiratory gases with a heated humidifier, warming intravenous fluids, and keeping the child covered. Hypothermia (temperature below 35°C) can increase the potency of several drugs administered during anesthesia (i.e., muscle relaxants, narcotics, barbiturates, and inhaled anesthetics) and depress respiratory drive, especially in infants. Iatrogenic hyperthermia also occurs in small children covered with plastic drapes for a long period of time (more than 30 minutes) and should be avoided. Use of a cooling blanket and other active measures should be instituted if the child's temperature reaches 38°C.

An intravenous catheter is usually placed after induction of anesthesia when the child is asleep. The intravenous catheter should be carefully secured so it will be available for use after surgery. Stabilization of the child's arm or foot to an arm board is advisable. Principles guiding the administration of intravenous fluid are discussed later in this chapter.

The type of airway equipment used depends on the age and size of the child. The endotracheal tube chosen for most ocular surgery is a curved tube called a RAE tube, which is named for its developers Ring, Adair, and Elwyn. The advantage of this endotracheal tube is that it will not disturb the surgical field (Fig. 1). These tubes are a fixed length from the bend at the lip and thus accidental extubation or right main-stem intubation may occur after extending or flexing the patient's head.

Fig. 1. An infant is positioned for ophthalmic surgery. A preformed curved endotracheal tube is in place.

An LMA is commonly used for eye surgery (Figs. 2 and 3). This mask is placed in the pharynx above the epiglottis, so it does not protect the lungs from aspiration. The LMA was developed by A. Brain in England and became popular in the United States in the 1990s. A reinforced form of LMA is also available.

Fig. 2. A laryngeal mask airway with flexible reinforced tube is in place in this infant.

Fig. 3. Examples of laryngeal mask airways.

INDUCTION

Induction of anesthesia may be through a mask with a potent inhalational agent (halothane, sevoflurane). A pleasant flavor may be applied to the mask with Chapstick to make the mask more acceptable to the child. Other induction methods include intravenous administration of 2.5% sodium thiopental (4 to 8 mg/kg), propofol (2 to 3 mg/kg), or rectal administration of methohexital sodium (20 to30 mg/kg). Intramuscular injection of ketamine (1 to 8 mg/kg) may facilitate induction but nystagmus is common and may make ocular surgery difficult. Light levels of anesthesia may produce poor operating conditions. Bradycardia with or without hypotension may occur during inhalation induction with halothane and is caused by the cardiac effect of halothane. This is less common with sevoflurane than halothane. Bradycardia is treated by administering atropine (10 to 20 μg/kg), intravenous fluids, intravenous calcium, or epinephrine, and discontinuing the anesthetic agent. Because intravenous medication can facilitate securing the airway and establishing cardiovascular stability, an intravenous catheter should be placed as soon as possible after the child is asleep. In children, veins in the lower extremities or scalp may be used in addition to those in the upper extremities.

Intramuscular injection of ketamine is usually reserved for uncooperative children who have not been sedated adequately by premedication withmidazolam or for older children (15 to 20 years) who are unable to control themselves in the operating room setting (e.g., the severely mentally handicapped). Low-dose ketamine (1 to 3 mg/kg IM) may quiet the child sufficiently to accept intravenous or mask induction. Complications of intramuscular ketamine include a possible increase in intraocular pressure (IOP), increased secretions, loss of airway reflexes, airway obstruction, and postoperative hallucinations. Anticholinergic should be administered with ketamine to decrease secretions.

INTUBATION

Some surgical procedures can be performed without an endotracheal tube in place, such as examination under anesthesia or probe and irrigation of the nasolacrimal duct, especially if the procedure is brief (less than 5 minutes; Figs. 4 and 5). However, intubation with a properly sized endotracheal tube is a routine part of most procedures involving anesthetics, especially in younger patients undergoing surgery on the face, and this can be safely performed even for brief procedures. Intubation should be performed when the child is deeply anesthetized and has little muscular tone. Neuromuscular blocking drugs are optional. Common complications ofmask anesthesia include airway obstruction, laryngospasm, silent aspiration, and hypotension from deep anesthesia. Protecting the airway with a properly sized endotracheal tube can prevent most of these problems.

Fig. 4. A child is positioned for a brief procedure with a mask anesthetic.

Fig. 5. Mask is positioned in this manner for a probe and irrigation of the nasolacrimal duct.

An LMA may be used instead of an endotracheal tube (see Figs. 2 and 3). This type of airway is less stimulating than an endotracheal tube and is easier to place; however, aspiration of gastric fluid into the lungs may still occur. Insertion of an LMA in an anesthetized child does not increase IOP as tracheal intubation does.

MAINTENANCE ANESTHETICS

Maintenance anesthetic drugs include intravenous propofol (50 to 300 μg/kg/min), remifentanil (0.1 to 0.4 μg/kg/min), or potent inhalational agents (e.g., halothane, isoflurane, and sevoflurane) with analgesic, muscle relaxant, and antiemetic added when needed. N2O is often added but there is some evidence that this may contribute to postoperative nausea and vomiting. Fentanyl (1 to 2 μg/kg) may be administered to those children who are likely toexperience postoperative pain. Other analgesics such as morphine (0.05 to 0.1 mg/kg), acetaminophen (10 to 30 mg/kg), or ketorolac (0.8 mg/kg with maximum of 30 mg) may also be used. Nondepolarizing neuromuscular relaxants may be administered as well. Antiemetic sedatives such as droperidol (10 to 75 μg/kg) may be administered. Other commonly used antiemetics include ondansetron (0.1 mg/kg with maximum of 4 mg) and metoclopramide (0.15 to 0.2 mg/kg) IV. Because the choice of drug may differ depending on the duration of surgery, careful estimation of surgical time helps the anesthesiologist to make an appropriate choice, thus increasing the chance of a prompt, smooth emergence from anesthesia when the surgery has been completed.

SUCCINYLCHOLINE

Succinylcholine is a depolarizing neuromuscular blocking drug that has a rapid onset (less than 1 minute) and a short duration (less than 5 minutes) of effect when 1 to 2 mg/kg is administered intravenously to a patient with normal plasma cholinesterase function. This drug is used to facilitate intubation for emergency procedures in patients with a full stomach or to treat laryngospasm; it has many undesirable side effects: arrhythmias, bradycardia, sinus arrest or asystole, hyperkalemia, noticeably increased muscle tone in the masseter, potential trigger of malignant hyperthermia, myoglobinemia, myoglobinuria, increase in intragastric pressure, and transient increase of IOP. The mechanism for the increase in IOP is unclear; possible causes include a direct effect on choroidal blood volume, increased formation of aqueous humor, or tonic response of the extraocular muscles. Muscle fasciculation is not the cause. The increase in IOP may be as great as 10 to 20 mmHg and lasts for 4 to 6 minutes. The results of forced duction tests may be altered for 20 to 30 minutes after a patient received succinylcholine. Vitreous humor may be extruded from an open globe if IOP increases after succinylcholine. Enophthalmos may occur after succinylcholine administration; this too resolves with time, but it may make an intraocular procedure more difficult to perform.

EMERGENCE

Emergence from anesthesia should be smooth. Coughing on the endotracheal tube can cause an increase in both venous pressure and IOP and can be avoided by extubating the child while he or she is still deeply anesthetized before all airway reflexes have returned. Potential complications of extubation are airway obstruction including laryngospasm, hypoxemia (even without airway obstruction), and aspiration of secretions or gastric contents. Infants younger than 6 months of age should not be extubated while anesthetized. They are more likely to have airway obstruction and hypoxemia than older infants and children are because of their relatively large tongues and irregular breathing patterns or breath holding. Some anesthesiologists advocate intravenous lidocaine (1 to 1.5 mg/kg) at the com-pletion of the procedure to reduce incidence of coughing on the endotracheal tube. This drug increases the depth of anesthesia and may be effective at blocking airway reflexes. Laryngospasm can precipitate postobstructive pulmonary edema that may require oxygen, continuous positive airway pressure (CPAP), and treatment with diuretics (furosemide [Lasix] 0.1 to 0.2 mg/kg).

FLUID MANAGEMENT

Fluids to be administered perioperatively are divided into four categories: maintenance, deficit, third-space loss, and blood replacement. The last two categories are unnecessary for most elective ocular procedures. Hourly maintenance fluid is calculated by the child's weight: 4 ml/kg for the first 10 kg, plus 2 ml/kg for each kilogram between 10 and 20 kg, plus 1 ml/kg for each kilogram over20 kg (Table 3). The ideal maintenance fluid to provide for metabolic needs is 2.5% to 5% dextrose in 0.25 normal saline (NS); however, usually Ringer's lactate (RL) is administered intraoperatively to provide both maintenance as well as deficit fluid replacement to ensure that adequate sodium is provided. Glucose solutions may be administered to infants less than 2 months of age intraoperatively because hypoglycemia is otherwise undetected under general anesthesia. In adults and healthy children who have fasted for only 3 hours, hypoglycemia is unlikely to occur during an anesthetic of short duration.9 Endogenous catecholamine release during induction of anesthesia and surgery usually increases blood glucose intraoperatively. Administration of excessive amounts of dextrose is also undesirable, because osmotic diuresis may result.

 


 

All patients have obligate fluid loses due to respiration, urination, and sweating. This loss is a large percentage of extracellular fluid volume in the child. Therefore, it is necessary to replace the fluid deficit that has occurred while fasting. Deficit fluid is calculated by multiplying the maintenance volume by the number of hours of fasting (i.e., a 10-kg child fasting for 8 hours requires: [10 kg × 4 ml/kg/hr] × 8 hr = 320 ml). Half of this deficit should be replaced in the first hour of surgery, and the remainder during the second and third hours. RL is usually administered for this purpose. Because nausea and vomiting are common postoperative complications after extraocular muscle surgery, postoperative dehydration may be avoided or decreased by administering all the fluid deficit in the perioperative period.

Acute sequestration of fluid to a nonfunctional interstitial compartment, also known as third-space loss, is usually minimal for ocular surgery but greater for thoracic or abdominal procedures. The estimated loss (1 to 10 ml/kg) is added to the maintenance rate using RL.

Blood loss must be replaced with clear fluid (RL or NS) at a ratio of 2:1 or 3:1, or with albumin, packed red blood cells, or whole blood at a lower ratio of 1:1 replacement. Which fluid is chosen depends on the expected total amount of blood loss, measured blood loss, availability of blood products, and minimum hematocrit allowable for the individual patient. A fluid challenge (RL or albumin) may be given in 10 ml/kg increments.

Back to Top
INTRAOPERATIVE CONCERNS
A 1978 article reviewed preventable anesthesia mishaps. Most (82%) involved equipment, breathing circuit disconnections, inadvertent changes in gas flow, or medication errors.10 Inadequate communication among personnel, haste, and lack of pre-caution were also cited. Additional intraoperative problems that could occur during any anesthetic include accidental extubation, right mainstem intubation, movement by the patient at an inopportune time during surgery, anaphylactic reaction to drugs, overdose or unexpected prolongation of drug effect, malignant hyperthermia (see Malignant Hyperthermia), decreased respiratory rate and tidal volume as a result of narcotics or inhalational agents, atelectasis, and hypoxia.

OCULOCARDIAC REFLEX

Bradycardia resulting from manipulation of the eye is called the oculocardiac reflex (OCR) and is elicited by pressure on the globe or traction on extraocular muscles, conjunctiva, or orbital structures. The afferent limb is trigeminal, and the efferent limb is vagal. Ventricular dysrhythmias and asystole as well as transient bradycardia may occur. Incidence of OCR varies from 10% to 82%. OCR is found more often in younger patients, who tend to have more vagal tone. Children undergoing strabismus repair are the patients most likely to experience OCR. Atropine given intravenously 30 minutes before surgery reduces the incidence of this reflex. Continuous electrocardiographic monitoring during ocular surgery is necessary to detect dangerous disturbances in cardiac rhythm.

If OCR occurs, stop traction and allow the heart rate to return to normal so that progression to sinus arrest does not ensue. The OCR may fatigue; that is, each time the trigeminal afferents are stimulated, OCR effects on heart rate are expected to lessen. Intravenous atropine, 10 to 20 μg/kg, may be administered when the heart rate has returned to normal. This is one reason an intravenous catheter is placed before ophthalmic surgery. Tachycardia should be present before continuing surgery. There are case reports of asystole occurring when atropine is administered during bradycardia.

ANESTHETIC AND OPHTHALMIC DRUG INTERACTIONS

Sulfur hexafluoride or air may be injected to replace the vitreous humor during correction of a retinal detachment, glaucoma, or during IOL surgery. Because 70% nitrous oxide can increase the volume of this bubble by about threefold in 1 hour, the plan to inject sulfur hexafluoride should be communicated to the anesthesiologist so that nitrous oxide may be discontinued before injection or avoided altogether. Nitrous oxide should be avoided for 5 days after injection of air and 10 days after injection of sulfur hexafluoride.

Mannitol may be administered intraoperatively to reduce IOP. The recommended intravenous dose is 0.2 g/kg or 200 mg/kg over a 30-minute interval. Complications include congestive heart failure, electrolyte imbalance, hypotension, and hypertension. A full bladder may cause pain and hypertension as well. Use of Foley catheters is recommended in adults when large doses of mannitol are given, but this is seldom necessary in children.

Intravenous acetazolamide (Diamox) decreases IOP as well. The appropriate pediatric dose is 8 to 15 mg/kg.

The systemic effects of common topical mydriatic agents are detailed elsewhere in these volumes. The recommended concentrations of phenylephrine and cyclopentolate are 2.5% and 0.5%, respectively, for pediatric use; an excessive concentration can have adverse systemic effects.

OPEN-GLOBE INJURY

The pediatric patient with a potential open-globe injury may require a general anesthetic to facilitate a complete examination as well as treatment. This child should go to the operating room as soon as it is available, and as soon as personnel familiar with surgical equipment and this procedure and a pediatric anesthesiologist also are available. Because gastric emptying slows or stops when injury occurs, these children are treated as having a full stomach. During induction of anesthesia, this child is at risk for aspiration of gastric contents and for a sudden, large increase in IOP, which may cause extrusion of vitreous and loss of vision. An increase in IOP is produced by multiple factors that may be present during induction of anesthesia including external pressure on the eye (Table 4).

 


 

Most anesthetics and neuromuscular blocking drugs reduce IOP, with the possible exceptions of ketamine and succinylcholine. Ketamine has various effects; early studies showed an increase in IOP after intramuscular or intravenous administration of the drug. More recent studies have found that after premedication with diazepam and meperidine intramuscular administration of ketamine does not affect IOP, and sometimes it even lowered IOP in children. Succinylcholine causes a transient (4 to 6 minutes) increase of 10 to 20 mmHg in IOP. For this reason, use of succinylcholine in a rapid-sequence induction in a child with an open-globe injury is controversial. Whether IOP can be reduced with intravenous sodium thiopental and lidocaine, or administration of halothane by mask so that the effect of succinylcholine is not clinically significant is difficult to ascertain. Pretreatment with nondepolarizing neuromuscular blocking drugs before administration of succinylcholine does not consistently prevent this increase in IOP; however, no cases of loss of vitreous humor have been reported during administration of curare-barbiturate-succinylcholine. Alternatively, a nondepolarizing neuromuscular blocker with rapid onset such as rocuronium may be administered to facilitate intubation; however, the duration of paralysis is longer than with succinyl-choline. After muscle relaxation occurs, cricoid pressure is applied to compress the esophagus, to prevent aspiration of gastric contents during rapid sequence induction of anesthesia. If a mask induction with halothane is necessary in a pediatric patient, cricoid pressure should be used until intubation has been accomplished. Because laryngoscopy and intubation increase IOP, an appropriate depth of anesthesia must be achieved first to compensate for this increase.

MALIGNANT HYPERTHERMIA

Malignant hyperthermia is a life-threatening metabolic state that can be triggered by all potent inhalational anesthetics such as halothane or sevoflurane and by depolarizing neuromuscular blocking drugs such as succinylcholine. A pharmacogenetic defect exists in the skeletal muscle such that intracellular calcium increases after exposure to the trigger agents. This results in metabolic and respiratory acidosis, and rhabdomyolysis. Cerebral edema, cardiovascular collapse, and disseminated intravascular coagulation may follow. Incidence of malignant hyperthermia ranges from 1 in 4500 to 1 in 60,000 anesthesia cases, with a mortality rate of about 10%now that intraoperative capnography is standard, blood gas and electrolyte analysis is readily available to detect malignant hyperthermia and dantrolene can be administered quickly to treat it. Clinical signs include tachycardia, tachypnea, and increased end-tidal levels of carbon dioxide. Incidence of malignant hyperthermia may be increased in patients with underlying myopathy, such as central core disease. Masseter muscle rigidity has been thought to be an early sign of malignant hyperthermia.

Early detection and proper treatment of malignant hyperthermia are crucial. When vital signs and exhaled carbon dioxide concentration suggest that the metabolic rate is increasing, blood from a large vein should be obtained for measurement of partial pressure of oxygen and carbon dioxide (pO2 and pCO2, respectively), acid-base status, and electrolytes. Symptomatic measures to support the circulation and maintain normal temperature should be undertaken including application of ice to highly perfused areas and infusion of cold fluid. If biochemical data support the presence of malignant hyperthermia (pCO2 above 60 mmHg, pH below 7.25 with a base deficit of a greater magnitude than -8, potassium over 6 mEq/L), then treatment with dantrolene should be initiated, exposure to the trigger agent stopped, and surgery concluded as rapidly as possible. Dantrolene should be immediately available in all inpatient and outpatient operating suites. More than 10 mg/kg may be needed to restore cardiovascular stability although the average dose needed is 2.5 mg/kg. Dantrolene works by decreasing calcium release from the sarcoplasmic reticulum. Mannitol is present in the formulation of dantrolene; therefore, an osmotic diuresis is expected. Insertion of a Foley catheter and measurement of myoglobin in the urine are advisable. After treatment for malignant hyperthermia is initiated, surgery should be rapidly concluded and the patient observed in an intensive care unit. Dantrolene1.0 mg/kg should be given every 6 hours for 24 to 48 hours until there is no evidence of ongoing rhabdomyolysis. Serum creatine phosphokinase (CK) levels should be measured every 12 hours until CK levels are stable after an episode of malignant hyperthermia. A consultation service is available 24 hours a day (1-800-MH-HYPER or 1-800-644-9737) sponsored by the Malignant Hyperthermia Association of the United States (MHAUS) to provide specialized advice in an emergency. In the past, if a child experienced masseter muscle rigidity on induction of anesthesia, surgery often was cancelled due to the fear of progression to malignant hyperthermia. This remains controversial.

MASSETER MUSCLE RIGIDITY AND SPASM

Masseter muscle rigidity (MMR) or tightening of the jaw muscle occurs after administration of succinylcholine. It may be an extreme form of the normal response to succinylcholine. A scale of gradation may be broken down as follows11: 1, complete relaxation, mandible falls open with head extension or pushing on chin; 2, incomplete relaxation, firm manual separation of teeth required to fully open the mouth; 3, MMR, mouth cannot be fully opened, intubation possible; 4, masseter spasm/trismus, mouth cannot be opened, teeth clamped shut (so-called jaw of steel), intubation impossible.

If score 0 occurs, mask ventilation may be continued, but intubation cannot be performed due to inability to open the patient's mouth. Some patients with masseter stiffness of grade 3 or 4 have developed malignant hyperthermia. If MMR occurs without signs of malignant hyperthermia, three paths of action are possible. First, one may discontinue the anesthetic and assume the child is malignant hyperthermia susceptible. The second choice of action after an episode of MMR is to continue the anesthetic with drugs that do not trigger malignant hyperthermia such as nitrous oxide, narcotics, and non-depolarizing muscle relaxants. The last course of action is to continue halothane or other potent inhalation anesthetics that are known to be triggers of malignant hyperthermia. In any case, after an episode of MMR, the metabolic state (carbon dioxide production, end-tidal carbon dioxide, PaCO2, potassium) of the patient should be carefully documented, and urine should be examined for myoglobin to ensure that renal function is not endangered by malignant hyperthermia or any other cause of rhabdomyolysis. This can be measured with a ChemStrip. If there is no blood in the urine by Chem Strip examination, no myoglobin is present in the urine. Creatine phosphokinase in the blood may increase for 24 hours postoperatively after such an episode.

The only diagnostic test for malignant hyperthermia is an invasive muscle biopsy and the in vitro caffeine halothane contracture test performed in a specialized laboratory. Because of the low incidence of malignant hyperthermia and nonspecific nature of the symptoms of malignant hyperthermia, the test may have a relatively low positive predictive value. However, the negative predictive value of this test is high. Some laboratories do not test patients who weigh less than about 40 kg. A list of laboratories that follow current standards for ma-lignant hyperthermia diagnosis is available from MHAUS.

Back to Top
POSTOPERATIVE CONCERNS
Postoperative concerns include nausea, vomiting, pain, postintubation croup, and discharge criteria. Patient safety as well as convenience to the family are both considerations in determining when to discharge the child from the hospital.

NAUSEA AND VOMITING

Nausea and vomiting are frequent occurrences after extraocular muscle surgery with reported incidence from 10% to 85%. Contributing factors include narcotics, pain, and prior history of motion sickness.12 Perioperative narcotics increase the incidence of vomiting, but general anesthesia without a narcotic drug for extraocular surgery may be associated with a 50% incidence of vomiting. The mechanism for vomiting after extraocular muscle surgery is unclear; it has been referred to as the oculogastric reflex. Some surgeons believe the amount of traction on the muscle during surgery stimulates this reflex. Another theory is that the child must adjust to the new position of the eyes after surgery. Many recommend keeping movement to a minimum postoperatively and not forcing oral intake of fluid. Thus, it is important to continue intravenous fluids postoperatively and to replace the fluid deficit in the perioperative period fully so that dehydration is not a problem if the child vomits or refuses to drink.

Treatment of postoperative nausea and vomiting includes a trimethobenzamide hydrochloride rectal suppository (162 mg for a child 12 to 24 months old and 81 mg if younger than 12 months), droperidol (10 to 75 μg/kg IV), metoclopramide (0.15 mg/kg IV), ondansetron (0.1 mg/kg IV, maximum 4 mg), and/or dexamethasone (0.1 to 0.5 mg/kg IV).13–15 Retrobulbar block with 1 to 2 ml of a long-acting local anesthetic (bupivacaine hydrochloride) may decrease the incidence of this problem. Prophylaxis with one or more of these drugs at the beginning of surgery has been recommended. Emergence may be prolonged with the sedative effect of droperidol. However, children undergoing extraocular muscle surgery tend to be sleepy and photophobic, even if they have not received droperidol. Some outpatient centers discharge these children if they are well hydrated, even if they are nauseated and not taking fluids by mouth. The state of hydration should be evaluated by reviewing the intravenous intake with respect to total fluid deficit, urine output, skin turgor, and state of alertness of the child. Children usually return to normal within 24 hours. Parents are instructed to contact the physician if the patient cannot hold down liquids or food. A follow-up telephone call the next day is appropriate.

PAIN

Pain can also cause nausea and vomiting. Treatment of pain after eye surgery should be individualized. Acetaminophen by mouth or rectum is often appropriate for mild to moderate pain. Dosage is 15 to 30 mg/kg orally and up to 45 mg/kg rectally. Daily dosage is 90 mg/kg. A nonsteroidal antiinflammatory agent such as ketorolac (0.8 mg/kg) may be used IV for more severe pain, and intravenousnarcotics (fentanyl, 1 to 2 μg/kg; meperidine [Demerol], 1 to 2 mg/kg; morphine, 0.05 to 0.1 mg/kg) are available as well. Infants who undergo a painful procedure such as cyclocryotherapy may receive an acetaminophen suppository either before or after the procedure in addition to narcotics. A retrobulbar block with bupivacaine is another excellent way of managing postoperative pain.

POSTINTUBATION CROUP

Postintubation croup is a barking cough suggestive of narrowing of the tracheal lumen due to irritation or swelling that may occur after a child has an endotracheal tube placed during anesthesia. The narrowest area of a child's airway is not at the vocal cords as it is in adults, but at the level of the cricoid cartilage. The trachea has a smaller diameter, so a small amount of swelling has a greater effect on the cross sectional diameter and thus the resistance to gas flow. Children who cry or scream before anesthesia can also have a barking cough, even if they have not been intubated. Signs of postintubation croup are stridor, cough, retractions, cyanosis, and wheezing. If significant stridor and poor air exchange are present, treatment with nebulized racemic epinephrine is appropriate. These children should be observed for recurrence of symptoms and impairment of ventilation for two to four hours before discharge home. Symptoms usually resolve entirely within 24 hours. Most often, barking cough is the only symptom and does not require treatment or prolonged observation.

DISCHARGE CRITERIA

Discharge criteria after outpatient surgery include: a return to the preoperative level of alertness, minimal or no pain, no airway problems, minimal bleeding or swelling at the surgical site, no fever, and ability to walk appropriate for development. One additional criterion, taking fluids by mouth, is being reevaluated; some clinicians recommend that children, especially those who have had extraocular muscle surgery, not be required to take and retain fluids before discharge. Oral intake is allowed only if the child requests a drink. Vomiting may be less of a problem if fluids are avoided. Dehydration must be prevented with intravenous fluids if the patient is unable to ingest fluid by mouth. Occasionally, a child needs to be admitted to the hospital for evaluation and treatment for protracted vomiting or pain.

POSTOPERATIVE FOLLOW-UP

Each ambulatory center should develop a method of follow-up to evaluate any complication of anesthesia or surgery. This may consist of a telephone call or a written questionnaire with telephone follow-up of problems. All significant findings from the postoperative follow-up should be referred to the relevant anesthesiologist or surgeon for attention and further action if required.

Back to Top
CONCLUSION
A detailed follow-up is just one factor that can improve the quality of anesthesia care. This chapter has provided information that will contribute to improved patient care for children undergoing ophthalmic surgery. The incidence of morbidity and mortality in the care of infants and children undergoing anesthesia has decreased as a result of the careful application of new technology and drugs. Advances include improved airway and monitoring equipment such as RAE tubes, LMAs, pulse oximetry, capnography to determine end-tidal carbon dioxide and inhalational anesthetic concentration as well as pharmacologic developments such as nonsteroidal antiinflammatory analgesics, water-soluble sedatives, short-acting narcotics, and short-acting nondepolarizing muscle relaxants. Careful attention to the anesthetic care of the pediatric ophthal-mology patient from the initial evaluation to final follow-up will promote a successful outcome.
Back to Top
REFERENCES

1. Cohen MM, Cameron CB, Duncan PG: Pediatric anesthesia morbidity and mortality in the perioperative period. Anesth Analg 70:160, 1990

2. Morray J: Pediatric cardiac arrest stats kept in national registry. APSF Newslett Fall 1998:25

3. Keenan RL, Shapiro JH, Kane FR et al: Frequency of anesthetic cardiac arrests in infants: Effect of pediatric anesthesiologists. J Clin Anesth 3:433, 1991

4. Keenan RL, Shapiro JH, Kane FR et al: Bradycardia during anesthesia in infants: An epidemiologic study. Anesthesiology 80:975, 1994

5. Gregory GA, Steward DJ: Life-threatening perioperative apnea in the ex-“premie.”Anesthesiology 59:495, 1983

6. Motoyama EK, Davis PJ: Index of syndromes and their anesthetic implications. In: Smith's Anesthesia for Infants and Children. St Louis: Mosby-Year Book, 1996:953

7. Roy WL, Lerman J, McIntyre BG: Is preoperative haemoglobin testing justified in children undergoing minor elective surgery? Can J Anaesth 38:700, 1991

8. AAP Committee on Drugs: Guidelines for monitoring and management of pediatric patients during and after sedation for diagnostic and therapeutic procedures. Pediatrics 89:1110, 1992

9. Welborn LG, Hannallah RS, Gill WA et al: Glucose concentrations for routine intravenous infusion in pediatric outpatient surgery. Anesthesiology 67:427, 1987

10. Cooper JB, Newbower RS, Long CD et al: Preventable anesthesia mishaps: A study of human factors. Anesthesiology 49:399, 1978

11. Hannallah RS, Kaplan RF: Jaw relaxation after a halothane/succinylcholine sequence in children. Anesthesiology 81:99,1994

12. Sinclair DR, Chung F, Mezei G: Can postoperative nausea and vomiting be predicted? Anesthesiology 91:109, 1999

13. Broadman LM, Ceruzzi W, Patane PS et al: Metoclopramide reduces the incidence of vomiting following strabismus surgery in children. Anesthesiology 72:245, 1990

14. Abramowitz MD, Oh TH, Epstein BS et al: The antiemetic effect of droperidol following outpatient strabismus surgery in children. Anesthesiology 59:579, 1983

15. Splinter WM, Rhine EJ: Low-dose ondansetron with dexamethasone more effectively decreases vomiting after strabismus surgery in children than does high-dose ondansetron. Anesthesiology 88:72, 1998

Back to Top